La estereoquímica es la parte de la química que estudia la distribución espacial de los átomos que componen las moléculas con el fin de conocer la influencia de estos sobre sus propiedades químicas y físicas, así como su reactividad. Proporciona conocimientos para la química en general, ya sea inorgánica, orgánica, biología, fisicoquímica o química de polímeros.

Uno de los casos médicos en los que la estereoquímica jugó una mala pasada es el conocido “desastre de la Talidomida”. En el año 1953 una compañía farmacéutica, Ciba, desarrolló este fármaco sin pensar en los resultados que podría tener. Fue comercializado como sedante y calmante para las náuseas producidas durante los primeros meses de embarazo. Se realizaron estudios en diversos animales de laboratorio para comprobar los efectos secundarios, pero no se encontró ninguno. Más tarde se conoció que la talidomida se había dispensado en dosis tan altas que los fetos de los animales embarazados habían fallecido.

Los resultados habían sido falseados y, por consiguiente, el fármaco salió al mercado con problemas serios en su estructura química que podría desencadenar graves problemas en los pacientes que lo ingirieran. Tras múltiples investigaciones se descubrió que existían dos talidomidas distintas, aunque de igual fórmula molecular, en las cuales cambiaba la disposición de los grupos en un carbono en el espacio, cosa que hasta entonces no se tenía en cuenta. Se trataba, por tanto, de una sola molécula con dos enantiómeros. Están pues (según la nomenclatura actual) la forma R (que producía el efecto sedante que se buscaba) y la S (que producía efectos teratogénicos y producía focomelia). Este descubrimiento produjo que a partir de ese momento se tuviese en cuenta la estereoisomería en moléculas, utilizando el sistema R/S actual.

Es por ello por lo que la estereoquímica es fundamental en la preparación de medicamentos o compuestos destinados a actuar sobre organismos. Por ello, ChemDraw 17 pone a disposición del usuario herramientas tan precisas y completas como:

  • Dibujo de enlaces especiales.
  • Estereoquímica de proyecciones y representaciones.
  • Estequiometría absoluta.
  • Estequiometría relativa.
  • Creación de enantiómeros: imagen de espejo.

Dibujo de enlaces especiales

ChemDraw nos ofrece una amplia gama de enlaces simples y dobles que podemos utilizar para dibujar con mayor precisión nuestras estructuras químicas.

Tabla 1. Resumen de los tipos de enlace que nos ofrece la interfaz de ChemDraw 17
Tabla 1. Resumen de los tipos de enlace que nos ofrece la interfaz de ChemDraw 17

 

El tipo de enlace que seleccionemos para dibujar nuestra estructura será vital para la obtención de las propiedades adecuadas de la misma. De esta forma, en función de que nuestro compuesto químico presente disposición “cis” o “trans” sus propiedades pueden ser unas u otras debido a las interacciones entre los grupos funcionales en consecuencia del tamaño de los mismos.

Estereoquímica en proyecciones y representaciones

La representación de enlaces simples sin disposición espacial puede suponer varios estereocentros dentro de la misma estructura.

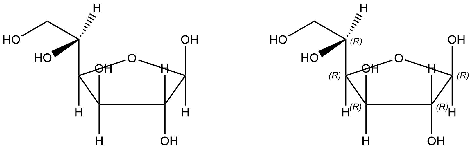
Proyecciones para la estructura de glucosa
Proyecciones para la estructura de glucosa

 

Las tres proyecciones anteriores representan variaciones de glucosa, molécula con múltiples centros quirales. En este caso, debido a las reglas utilizadas en las representaciones utilizadas, no será necesario indicar la orientación de los grupos funcionales con enlaces tipo “cuña” o “hash”. ChemDraw interpreta la estereoquímica de acuerdo con las convenciones establecidas para cada proyección. A continuación, se muestran las tres mismas moléculas especificando la estereoquímica de sus centros quirales, para lo cual hay que seguir los siguientes pasos:

  • Selección de la molécula a estudiar.
  • “Object” – “Show Stereochemistry”
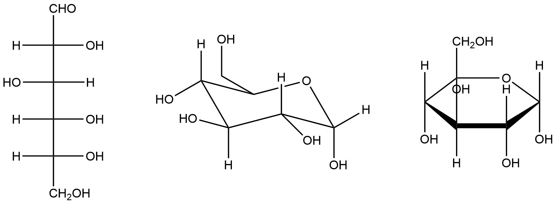
Proyecciones para la estructura de glucosa con estequiometría
Proyecciones para la estructura de glucosa con estequiometría

 

ChemDraw también puede interpretar representaciones mixtas. En la proyección de Haworth de la glucosa (abajo a la izquierda), la forma alfa-glucofuranosa, presenta orientaciones de enlaces muy variadas. A pesar de ello ChemDraw es capaz de identificar la orientación de los grupos funcionales y de mostrar sin ningún tipo de error la estereoquímica del carbono.

Interpretación de estequiometría mixta por ChemDraw
Interpretación de estequiometría mixta por ChemDraw

 

Estereoquímica absoluta

Podemos calcula la estequiometría absoluta de acuerdo con las reglas de prioridad de Cahn-Ingold-Prelog (CIP). Dentro de la opción “Object” – “Show stereochemistry” solo podremos analizar estructuras con geometría tetraédrica o dobles enlaces, como se muestra a continuación.

L y D valina
L y D valina

 

Como podemos ver, en el caso de la valina, la estequiometría que nos aporta sobre el carbono quiral indica que se trata de un centro asimétrico, átomo que ChemDraw es capaz de reconocer a la perfección.

Cis/Trans-decalina
Cis/Trans-decalina

 

En cambio, para el análisis estereoquímico de la Cis/trans-decalina la información que ChemDraw nos aporta está relacionada con centros pseudoasimétricos (r) y (s).

Cis/Trans-etenediol
Cis/Trans-etenediol

 

En el caso de estructuras con dobles enlaces, la opción citada al inicio de este apartado nos aporta información sobre la distribución en el espacio de los grupos funcionales asociados al doble enlace (Z) o (E)

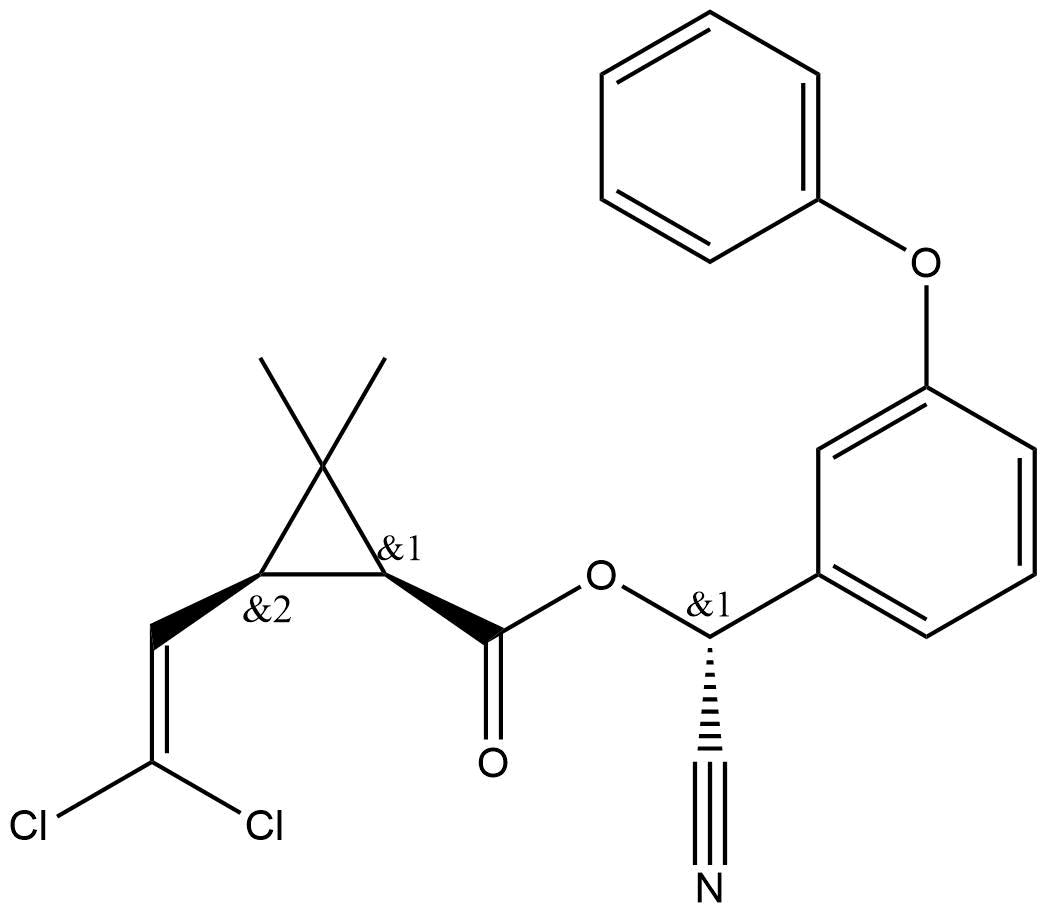
Estereoquímica relativa

Los investigadores pueden especificar relaciones entre grupos de estereocentros dentro de la misma molécula. Este tipo de notación aporta más información de lo que los indicadores estequiométricos de ChemDraw anteriores pudiera aportar. A continuación, se muestra un ejemplo de como utilizar esta notación estequiométrica.

Beta-Cipermetrina
Beta-Cipermetrina

 

Dos estereocentros tienen designación “&1” debido a su configuración relativa fija: cuando uno es “R”, el otro debe ser “S”. Como resultado, forman un grupo. El tercer estereocentro varía de forma independientemente y se designa como “&2”. Los números de grupo se incrementan automáticamente.

Creación de enantiómeros: imagen de espejo

Los investigadores pueden reflejar estructuras a través de planos perpendiculares en el eje X o Y. De esta forma se pueden representar mezclas racémicas y otros esteroisómeros. También se puede crear una vista del lado reverso de una estructura con estereoquímica definida una vez rotada. Las estructuras giradas no son imágenes especulares, pero a menudo se confunden con imágenes reflejadas.

¿Qué ocurre con las moléculas cuando se rotan? El cambio de orientación de la misma produce un cambio R/S, automáticamente ChemDraw realiza este cambio sin que el usuario tenga que seleccionar ninguna herramienta más.

Conclusiones

La estereoquímica es indispensable para un buen uso de la química. Es inevitable disponer de estos conocimientos para poder aportar la conformación necesaria a nuestros compuestos químicos. Como hemos podido ver, un simple cambio en la orientación de los grupos funcionales puede suponer un gran cambio en las propiedades de un compuesto, convirtiendo nuestra estructura en un compuesto potencialmente peligroso. ChemDraw ofrece herramientas para solucionar estos problemas, ayudando al investigador a plantear las diferentes posibilidades, permitiendo de esta forma un estudio más profundo previo a la síntesis.