Maple Flow respecto Excel: Haz tus cálculos de ingeniería más productivos
- Detalles
- Categoría: Maple
- Visto: 3036
Resumen:Documentar y compartir cálculos de diseño es una parte muy importante de las tareas de los ingenieros. Los ingenieros comienzan sus carreras utilizando Excel para cálculos, como un medio rápido para resolver y documentar ecuaciones básicas. Pero después de usarlo durante algún tiempo, descubren que tienen limitaciones al presentar matemáticas avanzadas, y a menudo requieren soluciones alternativas y puede llevar mucho tiempo detectar errores. Los ingenieros necesitan un software de cálculo fácil de usar que facilite la creación y actualización de hojas de trabajo de diseño, y muchos consideran Maple Flow como una alternativa al formato de hoja de cálculo. Este documento muestra cuatro áreas clave en las que los ingenieros pueden mejorar su productividad y flujo de trabajo cambiando a Maple Flow desde Excel. Maple Flow destaca como un software de cálculo alineado con la forma en que los ingenieros abordan los diseños. Con Maple Flow, puede capturar su proceso de pensamiento, minimizar los errores que provocan retrasos, controlar el aumento de los costes y evitar resultados inesperados. |
Muchos ingenieros comienzan su carrera con acceso a Excel®. Es muy fácil abrir una hoja de trabajo y comenzar a introducir algunos valores. Un cálculo rápido aquí, añada un multiplicador allí, cambie este valor porque tiene nueva información y tal vez rehaga el cálculo con este número para ver cómo se verían los resultados. Los números parecen buenos, así que procede a construir un prototipo.
Mientras tanto, la hoja de cálculo se comparte con otro equipo, donde alguien añade algunas líneas más, cambia algunos de los valores originales e introduce una serie de errores imposibles de rastrear. Unos meses después, nadie sabe de dónde provinieron las cifras, pero los equipos del proyecto han estado basando meses de trabajo de diseño en los resultados de estos cálculos erróneos.
Las fórmulas crípticas, junto con la falta de visibilidad sobre de dónde provienen los datos y cómo se resuelven las ecuaciones, dejan lugar a errores que tienen consecuencias indeseables e incluso desastrosas.
La alta probabilidad de errores en las hojas de cálculo
En 2015, una investigación sobre el riesgo de errores en hojas de cálculo operativas y comerciales¹ mostró que para hojas de cálculo complejas (aquellas con más de 100 celdas con fórmulas), la probabilidad promedio de que una celda en particular tenga un error es del 3,9%, pero esto rápidamente se extiende en cascada a través de múltiples pestañas y páginas con el efecto de que en promedio el 94% de los documentos estudiados tenían al menos un error.
El informe también analizó los tipos de errores que ocurrían al trabajar con hojas de cálculo. En un estudio, se encontró que un promedio del 45% de los errores estaban relacionados con las matemáticas subyacentes, como un error en el uso de una ecuación, mientras que el 23% de los errores estaban relacionados con la forma mecánica de introducir los valores en Excel, por ejemplo, utilizando referencias de celda incorrectas o copiando y pegando en el lugar equivocado. Estos errores se vuelven más comunes por la forma en que las fórmulas de Excel se ocultan a la vista. Esto muestra la importancia de verificar los cálculos contributivos como parte de un proceso de revisión de documentos de calidad.
La alternativa moderna a las hojas de cálculo
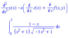
El hecho es que, si bien Excel tiene sus usos, simplemente no está diseñado para cálculos matemáticos avanzados y su documentación de respaldo. Los ingenieros y científicos necesitan sistemas matemáticos interactivos que les permitan escribir ecuaciones que describan problemas utilizando notación matemática estándar, como por ejemplo,
o
y luego resolver estos problemas trabajando con las ecuaciones de forma natural.
Maple Flow es uno de los mejores ejemplos de un sistema matemático interactivo diseñado específicamente para desarrollar, documentar y resolver cálculos de ingeniería. Aprovechando el motor matemático avanzado de Maple, Maple Flow tiene acceso a una amplia gama de resolvedores que cubren todas las áreas principales de las matemáticas de ingeniería en un entorno de documentación técnica que combina texto, cálculos, imágenes, gráficos y más en un solo documento. Dado que Maple Flow está diseñado para cálculos matemáticos avanzados y permite a los ingenieros capturar el flujo de trabajo del diseño, así como los resultados, Maple Flow ofrece muchos beneficios que Excel no puede abarcar.
Este documento revisa cuatro áreas clave en las que los ingenieros pueden mejorar su productividad y flujo de trabajo utilizando Maple Flow en lugar de Excel.
1) CAPACIDADES MATEMÁTICAS INTEGRALES
La herramienta ideal para proyectos de ingeniería es aquella que puede manejar cálculos complejos en una amplia gama de áreas temáticas.
Excel es, en esencia, una herramienta empresarial que ha evolucionado para manejar algunos cálculos no comerciales. Su biblioteca de funciones ahora incluye muchas funciones matemáticas y de ingeniería, pero no puede manejar funciones avanzadas como el cálculo ni proporcionar gráficos de funciones directamente. Para trazar la gráfica de una función o evaluar puntos o gradientes en una curva trazada, los datos subyacentes se deben ordenar en tablas que luego se pueden usar para crear trazados y gráficos. Excel también ofrece macros de aplicaciones visuales básicas (VBA) que permiten a los usuarios crear funciones personalizadas y automatizar tareas realizadas con frecuencia. Sin embargo, las macros funcionan manipulando hojas de cálculo, lo que no es una forma natural de abordar la resolución de problemas.
Maple Flow tiene más de 5000 funciones que cubren prácticamente todas las áreas de las matemáticas, incluido el cálculo, las ecuaciones diferenciales, la estadística, el álgebra lineal y las transformaciones. Admite cálculos numéricos y cálculos simbólicos de alta precisión. Con los cálculos simbólicos, los usuarios pueden evaluar expresiones sin asignar valores a las variables. Maple Flow proporciona herramientas para la resolución de problemas numéricos y algebraicos a gran escala, y utiliza los algoritmos líderes en el mundo del motor de cálculo Maple para resolver problemas que están más allá del alcance de cualquier otro sistema de software.
Maple Flow también incluye un lenguaje de programación con todas las funciones que se puede utilizar para crear scripts, programas y aplicaciones completas. Diseñado para cálculos matemáticos, incluye estructuras de datos matemáticos, operaciones y funciones integradas específicamente para manipular objetos y ecuaciones matemáticas, lo que lo hace ideal para cálculos de ingeniería avanzados.
2) NOTACIÓN MATEMÁTICA NATURAL
Los ingenieros quieren describir los problemas en términos de ecuaciones utilizando variables, constantes y operandos, y luego resolver esos problemas de manera lógica. Una herramienta eficaz debe tener la capacidad de ayudar a los usuarios en la forma en que quieren trabajar.
Excel no admite la notación matemática estándar. Una expresión como ((B12+2*$A$1)/A12)*2.1328 no representa las matemáticas en la forma en que los ingenieros expresan sus problemas, ni Excel permite a los ingenieros manipular ecuaciones de forma natural. No hay flujo en cómo se resuelven las ecuaciones y hay que saltar de celda en celda para ver dónde se realiza un cálculo y dónde se utiliza el resultado. La función de ecuaciones de Excel muestra ecuaciones en un formato plano, parecido a una imagen, y requiere que las actualizaciones se realicen a mano.

La notación matemática natural ayuda a presentar y resolver ecuaciones diferenciales y cálculo avanzado.
Con el lienzo de formato libre de Maple Flow, los ingenieros pueden escribir ecuaciones y fórmulas de forma intuitiva y legible utilizando notación matemática estándar. Maple Flow permite resolver el problema de forma natural, con cada paso claramente visible y bien documentado. Esto es particularmente útil al presentar y resolver ecuaciones diferenciales y utilizar cálculo avanzado. En Maple Flow, puede verse de dónde provienen los valores de entrada y dónde se utilizan los resultados, lo que permite actualizar y manipular fácilmente las matemáticas en los documentos.
Maple Flow permite a los ingenieros resolver problemas matemáticos de la misma manera que lo harían cuando los resuelven a mano, aunque mucho más rápido, sin errores y con muchos resolvedores y herramientas de análisis que superan con creces lo que se puede hacer manualmente.
3) SISTEMAS DE UNIDADES
Los cálculos de ingeniería implican valores que tienen unidades, que denotan masa, velocidad, resistencia, densidad, etc. Las herramientas utilizadas para los cálculos de ingeniería deben ser lo suficientemente robustas como para reconocer y manejar correctamente las unidades a fin de realizar cálculos correctos.
Excel no está diseñado para cálculos científicos y no maneja unidades de manera intuitiva. No se pueden realizar cálculos con números en Excel que incluyan unidades, y cualquier referencia de unidad debe agregarse por separado, ocupando una celda vecina. Solo puedes convertir un número en una celda de una unidad a otra usando una llamada de función, como =CONVERTIR(C5, "ft", "m").

Por defecto, Excel evalúa expresiones trigonométricas mediante el uso de radianes, lo que puede confundir a los usuarios que esperan introducir grados.
Un área común de confusión en Excel es cómo su valor predeterminado es evaluar expresiones trigonométricas como seno, coseno y tangente mediante el uso de radianes, mientras que muchos proyectos de ingeniería estructural hacen referencia a valores de ángulos medidos en grados.

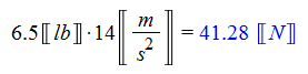
Maple Flow permite que los cálculos utilicen una combinación de unidades SI e imperiales.
Maple Flow, por otro lado, permite a los ingenieros realizar cálculos inteligentes que incluyen unidades y puede convertir unidades fácilmente de una unidad a otra. Con un menú de unidades SI e imperiales, también brinda soporte para el uso de unidades, verificando opciones incompatibles y manejando la manipulación de unidades para asignar la unidad correcta a un cálculo resultante. Por ejemplo, si se considera la ecuación F=ma. En Maple Flow, se puede multiplicar una masa determinada por una aceleración, y Maple Flow obtendrá el resultado predeterminado en Newtons. Esto es imposible en Excel.
4) PROCESO DE REVISIÓN DE LOS CÁLCULOS DE DISEÑO
Las hojas de cálculo de ingeniería son más que la suma de sus operaciones aritméticas. Muestran propiedades, suposiciones y requisitos, se pueden hacer para que muestren las aprobaciones de los revisores y vinculan el diseño con los resultados del diseño solicitados. Cuando las crea y aprueba un ingeniero profesional, las hojas de cálculo de ingeniería también pueden comunicar el cumplimiento de estándares reconocidos internacionalmente, como Eurocódigos, IBC/IRC o JIS.

Tener un proceso de revisión sólido puede verificar las suposiciones y reducir el riesgo para la empresa.
Tener un proceso de revisión interna sólido es crucial para el éxito de una empresa de ingeniería. Permite a los ingenieros verificar suposiciones, reproducir cálculos y comprender de dónde provienen los resultados. Dado que la claridad y la precisión son vitales para los cálculos de ingeniería avanzados, un entorno que sólo proporciona resultados hace sólo una pequeña parte del trabajo.
Excel está diseñado principalmente para aplicaciones empresariales, por lo que se priorizan los resultados finales mientras que los cálculos están ocultos. Las celdas de una hoja de cálculo ocultan fórmulas y referencias de celdas, lo que requiere pasos adicionales para verificar su precisión. Si bien las funciones integradas de verificación de errores de Excel a menudo resaltan la sintaxis deficiente de la fórmula, Excel no resaltará la referencia de celda incorrecta por accidente y sigue siendo una posibilidad grave, que requiere mucho tiempo para encontrarla y corregirla.

Las fórmulas y referencias de celda ingresadas en una celda están ocultas de forma predeterminada en Excel.
De manera similar, Excel no proporciona una forma clara de agregar notas y comentarios a un flujo de trabajo. Sin la opción de contexto adicional a partir de las anotaciones, el lector puede tener dificultades para determinar de dónde provienen las entradas y por qué se utilizan ciertos valores. Excel admite agregar comentarios a una celda, pero no son fácilmente identificables. El revisor se ve obligado a buscar un triángulo rojo en la esquina de una celda para saber que hay un comentario y luego pasar el cursor sobre él para leerlo. El comentario en sí no puede incluir más que expresiones matemáticas muy básicas compuestas por caracteres disponibles en un teclado estándar. Simplemente no es una buena manera de transmitir requisitos importantes del proyecto o información general.
Maple Flow es una plataforma de gestión de cálculos y su formato de documentación flexible proporciona un entorno rico en el que crear un historial de trabajo completo de un proyecto. Sus notas, comentarios, visualizaciones y cálculos se conservan en un solo documento. Los revisores pueden ver fácilmente de dónde provienen los aportes, qué suposiciones se han hecho y comprender por qué se tomaron ciertas acciones. Estos documentos están "en vivo", por lo que si las suposiciones cambian, se pueden hacer ajustes a los parámetros y fórmulas y los resultados se volverán a calcular dentro del documento original. El documento Maple Flow proporciona un registro de auditoría abierto que reduce el riesgo de errores y retrasos costosos, y sirve como registro de toda la actividad del proyecto.
La plataforma Maple Flow también ayuda a retener el conocimiento organizacional. Al documentar el flujo de trabajo completo de un proyecto, el conocimiento adquirido en el transcurso de un proyecto se captura en un documento vivo al que se puede hacer referencia en una fecha futura. Esto protege a la empresa cuando los empleados se van o cuando surgen preguntas del proyecto sobre por qué se hicieron las cosas de una manera particular.

Maple Flow permite a los ingenieros documentar y desarrollar cálculos junto con material de referencia relacionado.
5) CONCLUSIÓN
|
A medida que crece el impulso por la innovación, las empresas se ven presionadas a ofrecer mejores productos en menos tiempo y a un coste menor. Como resultado, es más importante que nunca que los ingenieros utilicen herramientas que hagan bien el trabajo la primera vez. Si bien Excel es bueno para proyectos que involucran una gran cantidad de datos, simplemente no puede manejar el alcance de los cálculos matemáticos necesarios para proyectos de ingeniería avanzada. No estamos sugiriendo que se abandonen las hojas de cálculo, pero los equipos de ingeniería también necesitan un sistema matemático interactivo robusto y potente dedicado a desarrollar y actualizar los cálculos de diseño; en otras palabras, los equipos de ingeniería necesitan Maple Flow. |
|
Maple Flow se destaca como un software de cálculo alineado con la forma en que los ingenieros abordan los diseños. Con Maple Flow, se puede capturar su proceso de pensamiento, minimizar los errores que provocan retrasos, controlar el aumento de los costes y evitar resultados inesperados. Así como no saldríamos a cortar el césped con unas tijeras, no debe permitirse que el uso de software inadecuado ponga en peligro el éxito de los proyectos de ingeniería.
