Organización de documentación de laboratorio

Organizar este tipo de información puede ser una tarea desalentadora a medida que se acumulan las reclamaciones y las patentes concedidas y, descubrir que compuestos o clases de compuestos se cubrieron con dichas patentes puede ser casi imposible usando herramientas de oficina tradicionales.

El conjunto de herramientas ChemBioOffice ayuda a los agentes de patentes y abogados a encontrar rápidamente lo que necesitan y, gracias a ello, a continuar con el trabajo consiguiendo de esta forma presentar en primer lugar sus archivos.

Seis formas en que ChemBioOffice ayuda a organizar una patente

Estructura y nombre IUPAC generadas por ChemBioDraw, análisis elemental y cálculo de propiedades

Inteligencia química, con ChemBioDraw no solo dispone del programa de dibujo químico más usado a nivel mundial, también obtendrán un experto en propiedades químicas y nomenclatura. Una vez que haya dibujado o abierto una estructura química, ChemBioDraw puede realizar análisis elementales, obtener propiedades físicas, predecir espectros de NMR y generar un nombre sistemático IUPAC, incluyendo la estequiometría R/S y E/Z. Esta información puede ser compartida con otros usuarios o compañeros de trabajo generando archivos químicos comúnmente utilizados, como molfile, SDfile, SMILES e InChl.

Ahorro de tiempo, ChemBioDraw dispone de cientos de plantillas prediseñadas para acelerar el dibujo químico, puede crear, compartir y usar fácilmente plantillas personalizadas insertadas de forma personal. El cálculo automatizado de propiedades y las herramientas para la obtención de nombres químicos dan resultados inmediatos, existiendo además la posibilidad de obtener estructuras químicas a partir de nombres químicos. Si desea trabajar con estructuras de patentes, ChemBioDraw puede generar todos los compuestos individuales representados por una estructura genérica que contenga átomos alternativos junto con una lista de grupos R.

Plantillas de polipéptidos preestablecidas
Plantillas de polipéptidos preestablecidas
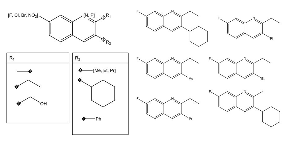
Izquierda - Estructura con grupos R. Derecha - Algunas de sus estructuras genéricas
Izquierda - Estructura con grupos R. Derecha - Algunas de sus estructuras genéricas

Exactitud, gracias a su inteligencia química ChemBioDraw puede garantizar que las estructuras dibujadas sean químicamente correctas y puede detectar, además, errores potenciales como valores de valencia excedidos, falta de carga y átomos superpuestos. Usando ChemScript puede obtenerse la orientación preferida para su estructura, así como la representación de tautómeros y el cálculo de la distorsión de la luz por parte de un centro quiral (R o S).

Organización, la fusión de ChemBioOffice con ChemBioFinder permite al usuario crear una base datos personal y químicamente inteligente donde podrá organizar sus compuestos químicos y filtrar en función de distintas propiedades. ChemDraw para Excel agrega inteligencia química a Microsoft Excel, consiguiendo de esta forma almacenar estructuras químicas en hojas de cálculo para posteriores búsquedas, filtrados o clasificaciones.

Ambas herramientas proporcionan búsqueda de estructuras, que incluye búsqueda exacta, subestructura y similitud para que los compuestos relacionados puedan ubicarse rápidamente y agruparte para su posterior registro. Las búsquedas de estructuras se pueden combinar con búsquedas de texto y datos para reducir el conjunto de compuestos. Por ejemplo: Encuentre todos los análogos estructurales de preparados de quinazolina en 2009 para el proyecto P04A con valores de IC50 < 5.0 nanomolar.

Tabla creada en ChemBioFinder a partir de un archivo externo con estructuras y datos
Tabla creada en ChemBioFinder a partir de un archivo externo con estructuras y datos
Diagrama de ChemDraw para Excel con estructuras químicas derivadas del mismo archivo SD utilizado en la figura anterior
Diagrama de ChemDraw para Excel con estructuras químicas derivadas del mismo archivo SD utilizado en la figura anterior
Cuerpo estructural con grupos R analizados y mostrados por ChemDraw para Excel a partir del conjunto de compuestos de la figura anterior
Cuerpo estructural con grupos R analizados y mostrados por ChemDraw para Excel a partir del conjunto de compuestos de la figura anterior

Análisis, las estructuras genéricas (representadas con variedad de sustituyentes) son ampliamente utilizadas en patentes y, tanto en ChemBioFinder como ChemDraw para Excel puede utilizar una lista de compuestos relacionados y determinar automáticamente la estructura central y los sustituyentes presentes. Esta función denominada “descomposición en grupos R” es una valiosa herramienta que se utiliza para escanear rápidamente la potencial cobertura (o brechas) en un estudio basado en la estructura y, también, permite estudiar la relación entre la variedad estructural y los cambios de propiedades.

Gráfico de ChemBioFinder, representación de IC50 frente a LogP con el compuesto en color resaltado. Los controles deslizantes interactivos se pueden usar para explorar los efectos de otros parámetros
Gráfico de ChemBioFinder, representación de IC50 frente a LogP con el compuesto en color resaltado. Los controles deslizantes interactivos se pueden usar para explorar los efectos de otros parámetros

ChemBioFinder con BioViz proporciona herramientas para un análisis más profundo de los compuestos y sus propiedades. Como ejemplo, un analista puede trazar la actividad del compuesto (por ejemplo, IC50) contra el peso molecular y, a continuación, explorar el efecto de LogP añadiendo un control deslizante LogP para interactivamente variar LogP y ver qué compuestos son más activos en ciertos rangos. Se pueden agregar múltiples controles deslizantes para explorar efectos multiparamétricos y, en cualquier punto del análisis, el conjunto activo de compuestos se puede guardar en una lista para una exploración o intercambio posterior con otros usuarios.

Suscripciones, ChemBioDraw se ofrece como una solución de escritorio individual con posibilidad de usar múltiples copias de software en una misma organización. Muchas firmas de abogados eligen suscribirse debido a la simplicidad y la facilidad con la que se puede instalar en ordenadores portátiles y de mesa.

La suscripción incluye:

  • Copias ilimitadas de la versión más reciente del software con licencia.
  • Una página web desde la cual el software se puede descargar fácilmente.
  • La capacidad de instalar el software para uso ilimitado en todos los ordenadores de propiedad de la empresa, o personales, con una dirección de correo electrónico de la empresa.
  • Funcionamiento del software por un periodo de un año tras la compra de la licencia.
  • Todas las actualizaciones de software correctivas, así como las actualizaciones de la nueva versión, lanzadas durante el plazo de su licencia.
  • Documentación electrónica a través de archivo PDF.

Soporte técnico por correo electrónico y documentación electrónica a través de archivos PDF.