En esta noticia realizaremos una simulación sobre como dibujar proyecciones de Newman en ChemDraw, utilizaremos etano como ejemplo. Los puntos a seguir serán:

  • Dibujar una molécula de metano
  • Duplicaremos la estructura del metano y estableceremos una unión entre ambos
  • Utilizaremos la herramienta “orbital” para dibujar el círculo de la proyección de Newman
  • Rotaremos uno de los metanos sobre sí mismo 180˚
  • Analizaremos por completo la proyección de Newman

Dibujo de una molécula de metano

Para dibujar una molécula de etano en proyección de Newman será preciso dibujar un metano en el frente y otro en el fondo, respectivamente. Para ello es tan sencillo como usar el comando “enlace sólido” para introducir el primer enlace simple y, a partir de ahí, dibujar la siguiente estructura:

Pasos para dibujar la estructura de un metano (mitad del etano)
Pasos para dibujar la estructura de un metano (mitad del etano)

Duplicado de una molécula de metano y establecimiento de una unión entre fragmentos

Molécula de etano previa a la proyección de Newman
Molécula de etano previa a la proyección de Newman

Seguidamente, podemos duplicar este fragmento de metano para generar la estructura del etano. Para ello deberemos seleccionar la molécula de metano previamente dibujada mediante la herramienta “selección” y arrastrar la figura para crear otra idéntica. A continuación, podemos unir los átomos de carbono centrales de cada metano para formar la molécula de etano.

Utilización de la herramienta “orbital” para dibujar el círculo de la proyección de Newman

Herramienta “orbital” para el dibujo del círculo de la proyección de Newman
Herramienta “orbital” para el dibujo del círculo de la proyección de Newman

Una vez listos los componentes para la proyección de Newman el siguiente paso será introducir en la estructura el círculo característico de este tipo de proyecciones. Para lo cual vamos a utilizar la herramienta “orbital” que podemos encontrar en View > Other Toolbars > Orbitals, o directamente en la columna izquierda de comandos de dibujo.

El tamaño del orbital está limitado al igual que el tamaño de los enlaces.

Rotación de uno de los fragmentos de metano sobre si mismo 180˚

Para rotar una de las mitades de metano será necesario seleccionarla previamente gracias a la herramienta “selección”.

Selección de uno de los fragmento de metano para su posterior rotación
Selección de uno de los fragmento de metano para su posterior rotación

A continuación seleccionamos Objects>Rotate>180º
 

Estructura de etano con uno de los fragmentos rotado 180˚
Estructura de etano con uno de los fragmentos rotado 180˚

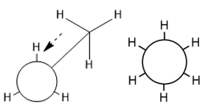
El último paso será acercar uno de los fragmentos al otro, para conseguir de esa forma la proyección tipo Newman que buscábamos.

Proyección de Newman del etano
Proyección de Newman del etano

Si durante el dibujo de la proyección de Newman aparece en el centro del círculo una señal roja seleccione File > Preferences > des-seleccione la opción “Atom near other bonds”

Análisis completo de las proyecciones de Newman

Si analizamos los resultados de propiedades obtenidos mediante ChemDraw para las estructuras siguientes, puede apreciarse que para la interfaz todas y cada una de las estructuras son químicamente idénticas, pues sus puntos de ebullición y peso molecular son iguales. Lo mismo se aplicaría a cada una de las proyecciones de Newman que pudiéramos dibujar.

Diferentes representaciones para una misma estructura química
Diferentes representaciones para una misma estructura química

En el caso de realizar este tipo de análisis utilizando Chem3D, podemos simular optimizaciones energéticas para verificar cuál estructura presenta menor energía. Para ello abriremos el archivo de la molécula de etano en Chem3D y seleccionaremos los átomos que aparecen en la siguiente imagen para, a continuación, seleccionar Calculation > dihedral driver > single angle plot.

Minimización energética ángulo diedro
Minimización energética ángulo diedro

Aparecerá en la pantalla principal una gráfica donde aparece representada la energía respecto al ángulo diedro, donde podremos visualizar para qué ángulo la energía de la estructura será mínima siendo, en este caso, -60 y 60º.

Ángulo diedro más estable energéticamente para la estructura de etano
Ángulo diedro más estable energéticamente para la estructura de etano

Conclusión

ChemDraw es capaz de representar e interpretar proyecciones de Newman, además de las proyecciones de Fisher, Hanworth y las sistemáticas recomendadas por la IUPAC. Gracias a Chem3D podemos realizar estudios de optimización energética de las proyecciones de Newman dibujadas en ChemDraw, de esta forma conoceremos cuales son energéticamente más estables y, por tanto, cuales se encuentran en mayor abundancia de manera natural. Este tipo de estudios es muy útil para estructuras con más sustituyentes (no solo átomos de hidrógeno) donde se podrá estudiar la influencia del grupo sustituyente en la orientación del ángulo diedro.