Maple, una herramienta ideal para los ingenieros mecánicos
- Detalles
- Categoría: Noticias
- Visto: 32
Los ingenieros mecánicos necesitan las funcionalidades que se encuentran en Maple
Los ingenieros mecánicos son simplemente únicos. Su trabajo es técnicamente desafiante, de amplio alcance y sujeto a plazos cada vez más ajustados. Maplesoft comprende estos desafíos y ha integrado funciones en Maple que los abordan específicamente, como:
Capturar la intención del diseño
Un documento de Maple combina matemáticas en tiempo real, texto, imágenes y gráficos en un solo documento. De hecho, Maple captura las suposiciones y el proceso de pensamiento inherentes a un análisis, así como los cálculos.
Matemáticas simbólicas y numéricas de alto nivel
Maple ofrece herramientas prácticas de alto nivel para matemáticas numéricas y simbólicas, análisis de datos y programación. Estas herramientas están diseñadas para problemas de ingeniería tanto simples como complejos.
Los motores matemáticos simbólicos y numéricos están perfectamente conectados; los parámetros, ecuaciones y cálculos transitan fluidamente entre ambos. Esto significa que puede derivar y evaluar numéricamente sus ecuaciones en un único flujo de trabajo cohesivo.
Además, el lenguaje de programación de Maple se beneficia de un entorno de desarrollo interactivo y puede utilizar cualquiera de las herramientas matemáticas de alto nivel de Maple.
- El código es más rápido de desarrollar, depurar y verificar
- Puede utilizar las funciones matemáticas de alto nivel de Maple y
- Es más fácil de leer para los humanos.
Reducir el riesgo de cálculo con unidades
Casi todas las magnitudes que maneja un ingeniero mecánico, ya sea fuerza, temperatura o velocidad, tienen una unidad. Las unidades se integran fluidamente en Maple y pueden usarse en cálculos sencillos, así como en la resolución de ecuaciones numéricas, la optimización y la visualización.

El uso de unidades en los cálculos elimina el riesgo de introducir errores de conversión de unidades y también actúa como un control de la validez física de las ecuaciones.
Datos temofísicos y termoquímicos
Maple contiene datos termofísicos y termoquímicos precisos, determinados experimentalmente, para fluidos puros, mezclas de fluidos y sólidos. Los ingenieros utilizan Maple para analizar ciclos de refrigeración, diseñar intercambiadores de calor, sistemas de combustión y cohetería, análisis psicrométricos y sistemas de secado.

Aplicaciones de ingeniería mecánica e historias de usuarios
Dado que Maple simplifica las matemáticas de ingeniería lo suficiente como para obtener resultados rápidos, no sorprende que muchos ingenieros mecánicos lo usen. Veamos ahora qué hacen con Maple y conozcamos cinco aplicaciones de software matemático para ingenieros mecánicos.
Análisis estático de cerchas y marcosEl análisis de marcos y cerchas implica la aplicación de los conceptos de equilibrio estático a un sistema. El resultado son ecuaciones que describen las fuerzas en el sistema. El marco teórico involucra conceptos como la condición de equilibrio estático (es decir, la suma de las fuerzas y momentos en un punto son cero), el método de los nudos y el método de las secciones. Estos conceptos dan lugar a ecuaciones que deben derivarse metódicamente y equilibrarse dimensionalmente. Esto requiere notación matemática natural, documentación exhaustiva y el uso de unidades. Las unidades, en particular, sirven como comprobación de la validez física de las ecuaciones. Maple satisface estos requisitos con documentos matemáticamente vivos que también pueden incluir imágenes y texto para ayudar a una mejor comprensión. Estos documentos son auditables y son una alternativa superior a los cálculos manuales en papel u hojas de cálculo. |
![]() |
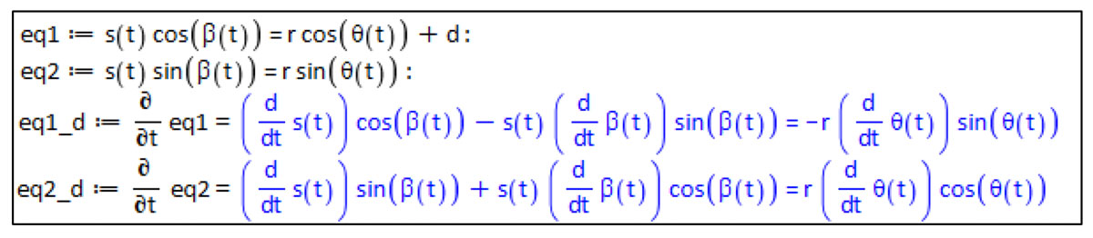
Cinemática de dispositivos mecánicos
Maple es el entorno ideal para el análisis cinemático basado en ecuaciones de dispositivos mecánicos.
- Puede ingresar ecuaciones cinemáticas y relaciones geométricas, incluidas ecuaciones diferenciales, en notación matemática natural auditable.
- Puede resolver sus ecuaciones cinemáticas utilizando los potentes resolvedores de ecuaciones diferenciales de Maple o con técnicas matriciales.
- Las ecuaciones geométricas se pueden reorganizar y manipular simbólicamente. Aquí, diferenciamos las restricciones geométricas de un dispositivo de retorno rápido para obtener las ecuaciones de velocidad lineal y angular.

- El movimiento del dispositivo se puede visualizar y animar.

Flujos de calor a través de un ciclo termodinámico
Puede usar Maple para calcular los flujos de calor en torno a un ciclo termodinámico, como ciclos de refrigeración por compresión de vapor, ciclos Rankine, ciclos Brayton y más. Incluso puede optimizar el sistema para maximizar el coeficiente de rendimiento.
Algunos usuarios emplean Maple para modelar ciclos Rankine orgánicos; estos se suelen usar para recuperar calor de baja intensidad, por ejemplo, de los escapes de fábrica.
Además, otros ingenieros mecánicos utilizan Maple para el diseño de turbinas de vapor.
Estas aplicaciones utilizan las herramientas de Maple para propiedades termodinámicas y de transporte de fluidos. Esta función reconoce las unidades: entalpías, densidades y otras propiedades tienen las unidades adecuadas.
Esto significa que ya no tendrá que depender de gráficos impresos o tablas de búsqueda para obtener datos fluidos.
Con esta función como apoyo a su trabajo, puede calcular y optimizar los flujos de calor en un ciclo termodinámico. Las aplicaciones también se pueden implementar sin costo con Maple Player.
Cálculos de flujo de fluidos
Los ingenieros mecánicos resuelven regularmente problemas de flujo de fluidos. Pueden calcular caídas de presión y caudales en redes de tuberías, o examinar las tensiones y las ganancias de calor causadas por la compresión del aceite en un cilindro hidráulico.
Estas aplicaciones involucran conceptos como la Ley de Bernoulli, los factores de fricción (por ejemplo, la ecuación de Colebrook) y las propiedades de transporte de líquidos.
Estas aplicaciones a menudo requieren
- Notación matemática natural, para garantizar que las ecuaciones puedan validarse completamente
- Unidades, para eliminar errores de conversión y garantizar la consistencia dimensional
- Resolvedores numéricos potentes capaces de resolver sistemas con parámetros que varían mucho en magnitud
- Ajuste de curvas, para ajustar datos empíricos de hojas de datos de bombas a curvas de altura
Robótica
Los ingenieros mecánicos están a la vanguardia del diseño de sistemas robóticos, desde el diseño geométrico y mecánico hasta la escritura de los controles y el software de los sistemas.
Maple le ayudará a desarrollar las matrices de transformación de Denavit y Hartenberg que describen el movimiento de un sistema de brazo robótico con múltiples grados de libertad. Luego, podrá calcular el movimiento de cada articulación con los resolvedores simbólicos y numéricos de Maple. Estos resolvedores simbólicos incluso le permiten derivar ecuaciones simbólicas para describir la cinemática inversa del sistema.
Si el problema admite dicha solución, se pueden extraer ecuaciones simbólicas para cada uno de los ángulos de articulación; esto requiere potentes resolvedores simbólicos. Además, estas ecuaciones pueden traducirse a otros lenguajes de programación, como C, Java, Python, FORTRAN y MATLAB.
