Ecuaciones en derivadas parciales con Maple 2019
- Detalles
- Categoría: Maple
- Visto: 15997
La nueva versión reafirma a Maple como software matemático líder en resolución de ecuaciones en derivadas parciales. Maple 2019 incluye, métodos adicionales para resolver nuevas clases de problemas, más flexibilidad para elegir los métodos que se van a intentar y una mejoría en la simplificación de los resultados.
Por Álvaro Garrido.
Como estudiante de física, he tardado poco en percatarme de la importancia que tienen las EDP en esta rama de la ciencia. Electrostática, dinámica de fluidos, calor, elasticidad, propagación del sonido, mecánica cuántica…¡Las EDP parecen estar en todas partes! Y no es de extrañar, ya que es una herramienta fundamental para describir la variación de fenómenos con respecto a múltiples variables. Por ello, no solo los físicos las usan constantemente, también lo hacen los ingenieros, matemáticos, economistas, entre otros.
Pese a su gran utilidad, los métodos utilizados para encontrar soluciones a las EDP, pueden ser en ocasiones tediosos y difíciles si se hacen a mano. Además, siempre correremos el riesgo de cometer algún que otro error. Por esta razón, Maple es una herramienta excelente para estudiantes, docentes o profesionales que trabajan frecuentemente con ecuaciones en derivadas parciales.

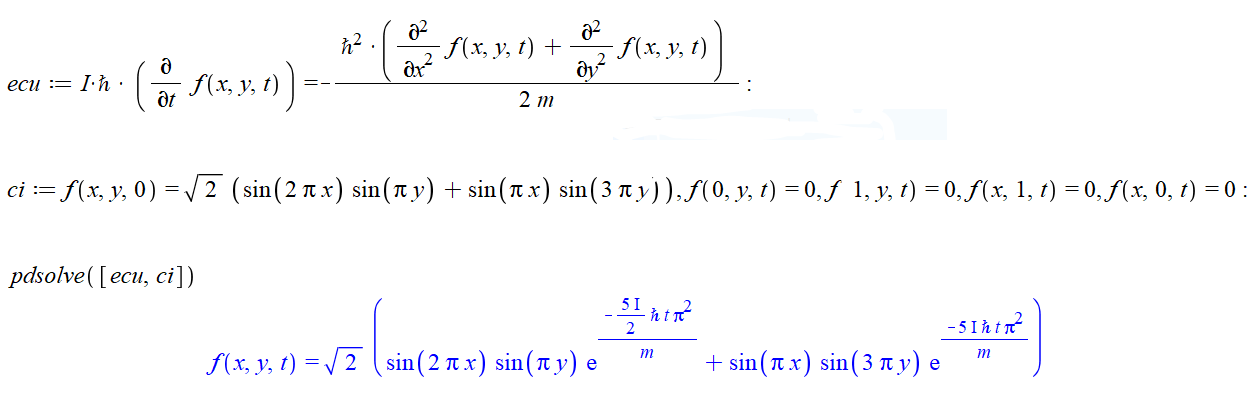
Ecuación de Schrödinger en dos dimensiones, con condiciones iniciales
Maple permite al usuario encontrar soluciones correctas y de manera rápida, utilizando una interfaz sencilla e intuitiva, que reconoce la notación matemática tradicional. Sin duda, el gran rasgo diferenciador de Maple en resolución de EDP, es la cantidad de operaciones que el programa logra ahorrarle al usuario. Cambios de variable y toda clase de manipulaciones u operaciones son realizadas automáticamente por el programa para que el usuario obtenga la solución de manera inmediata y sin necesidad de interactuar con el programa. Otra ventaja de Maple es su versatilidad y flexibilidad a la hora de resolver problemas. El usuario podrá realizar cualquier paso intermedio que desee manualmente, y tendrá también la posibilidad de especificar u omitir los métodos que estime oportuno para resolver el problema.
La última actualización de esta herramienta, Maple 2019, nos ofrece numerosas mejoras, incluyendo:
- Resolución de problemas de contorno usando cambios lineales de variables.
- Posibilidad de especificar o excluir métodos para la resolución de problemas.
- Soluciones en serie para EDP lineales y problemas de contorno resueltos mediante la separación de productos con autovalores, que son a su vez la raíz de expresiones algebraicas no invertibles.
- Método de superposición para EDP lineales con más de una condición de frontera no homogénea.
- Método de soluciones polinomiales.
- Resolución de más problemas usando las transformadas de Laplace y de Fourier.
- Mejoras para resolver las ecuaciones de onda o de calor, con o sin fuente.
- Mejoras en los métodos en serie para problemas de EDP de Laplace.
- Mejor simplificación de respuestas.

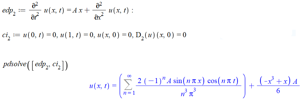
Ecuación de onda con fuente. En versiones anteriores, el programa daba la solución a este problema con integrales no evaluadas. Usando Maple 2019, se simplifica el resultado considerablemente.