COMSOL Electrodeposition Module 6.4
DESCRIPCIÓN
El modelado y la simulación son maneras efectivas para comprender, optimizar y controlar los procesos de electrodeposición. Una simulación típica produce la distribución de corriente en la superficie de los electrodos y el grosor y composición de la capa depositada. Son utilizados para estudiar parámetros importantes como: geometría de la celda, composición del electrolito, cinética del electrodo, tensiones y corrientes de trabajo, así como efectos de temperatura.
El Electrodeposition Module incluye toda la potencia de COMSOL Multiphysics para simular procesos de electrodeposición. Se proporcionan interfaces físicas, fáciles de utilizar, para modelos de distribución de corriente primaria, secundaria y terciaria, mientras que las precisas representaciones geométricas de la capa depositada formada se incluyen como parámetros del modelo.
Electrodeposition Module es útil en una amplia variedad de aplicaciones que incluyen deposición de metal para piezas electrónicas y eléctricas, corrosión y protección para durabilidad, electroplateado decorativo, electroformación de piezas con estructura fina y compleja y electroenventanado de metal.
SECTORES
El Módulo de Electrodeposición se puede usar en un campo amplio de aplicaciones. Algunos de estos áreas son:
- Anodizado
- Plateado de cromo
- Cromado
- Protección de corrosión
- Revestimiento electrónico
- Electrorevestimiento
- Electrocoloreado
- Electrodeposición para aplicaciones de minería
- Electrodeposición para fabricación de PCB
- Electroformación
- Electroplateado
- Electroplateado funcional
- Revestimientos resistentes a la corrosión
VERSIONES
6.4
NOVEDADES
6.4 introduce una interfaz para modelar electrolitos acuosos, variables de pérdida de potencia para evaluar pérdidas de energía y una nueva función para definir ciclos de carga y descarga.
Transporte de electrolitos acuosos
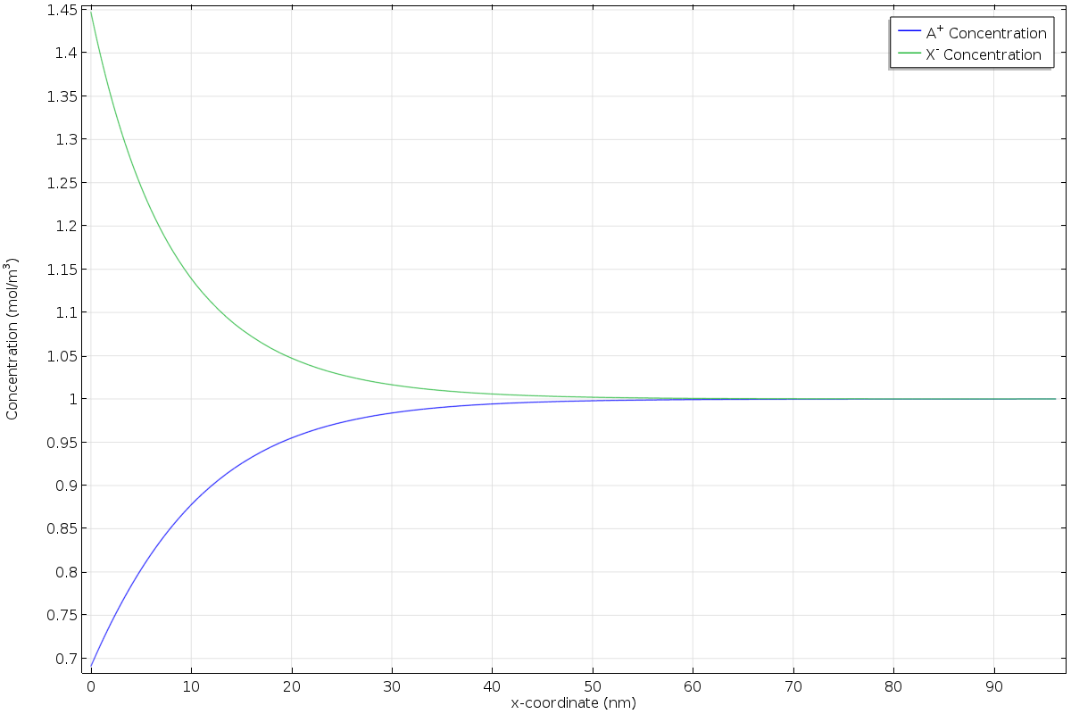
Para modelar electrolitos acuosos con ácidos débiles, bases débiles, anfolitos y especies complejas genéricas, así como para aplicaciones como el modelado de corrosión mecanicista, modelos electroquímicos de sistemas biológicos y el modelado de sensores electroquímicos, una nueva interfaz Aqueous Electrolyte Transport calcula los campos de potencial y concentración de especies en un electrolito acuoso diluido. El transporte se define mediante las ecuaciones de Nernst-Planck, que incorporan difusión, migración y convección, junto con la electroneutralidad y la reacción de equilibrio de autoionización del agua (autoprotólisis). Debido a su gestión más eficiente de las reacciones de las ecuaciones y a su sencilla configuración del modelo, la nueva interfaz puede ser preferible en algunos casos a la interfaz más genérica Tertiary Current Distribution, Nernst–Planck.

Definición de la estequiometría y la cinética de una reacción de electrodo en la interfaz de transporte de electrolito acuoso.
Variables de evaluación de pérdida de potencia
Ahora es posible evaluar la magnitud de las pérdidas totales de potencia en una celda de batería y comparar las pérdidas entre componentes individuales, como el separador, el electrodo y el conductor de corriente, utilizando las nuevas variables de pérdida de potencia introducidas en las interfaces Electrochemistry. Estas variables también permiten calcular la eficiencia energética de ida y vuelta de una celda de batería bajo un ciclo de carga-descarga, integrando las pérdidas de potencia a lo largo del tiempo.
Las pérdidas de potencia se definen en función de las pérdidas de energía libre de Gibbs de todas las especies reaccionantes y transportadas, lo que permite diferenciar entre pérdidas óhmicas, de concentración y de activación. En las interfaces de batería que admiten la intercalación de partículas, también se definen variables independientes de pérdida de transporte por intercalación. Estas variables están disponibles localmente en dominios y límites, como valores integrados para toda la celda o por nodo de característica individual del árbol del modelo. Las contribuciones de sobrepotencial de cada mecanismo de pérdida (óhmica, de activación y de transporte) se pueden calcular dividiendo por la corriente total.

Pérdidas de potencia relacionadas con el electrodo negativo, el separador y el electrodo positivo en una batería de iones de litio cuando se exponen a una prueba de caracterización de potencia de pulso híbrido.
Ciclo de carga
Para simplificar la configuración de esquemas de ciclos complejos, se ha añadido la nueva función Load Cycle a la mayoría de las interfaces Electrochemistry. Esta función permite definir ciclos de carga y descarga arbitrarios, donde los pasos de Voltage, Power, Current, C-rate, y Rest se pueden añadir en cualquier secuencia. Para cada paso del ciclo de carga, se pueden definir uno o varios criterios dinámicos de continuación o interrupción (conmutación), que pueden basarse en límites de tiempo, voltaje o corriente, así como en condiciones definidas por el usuario mediante expresiones de variables arbitrarias. Además de las versátiles opciones de definición de ciclos de carga, la nueva función también permite la definición automática de sondas de corriente y voltaje, así como de condiciones de parada del resolvedor
Con la subfunción Subloop, es posible, por ejemplo, combinar pruebas de ciclos de carga y descarga a largo plazo con pruebas de rendimiento de referencia. Tenga en cuenta que las subfunciones Power y Subloop solo están disponibles en el Módulo Battery Design Module y el Fuel Cell & Electrolyzer Module.

Modelado de baterías con la nueva función Ciclo de Carga. En este modelo, la secuencia del ciclo de carga se define mediante un paso de corriente (descarga), un paso de reposo, un paso de corriente (carga) y un paso de reposo final.
Inicialización automática de modelos de membranas de intercambio iónico
Para garantizar la electroneutralidad y el cumplimiento de los equilibrios de Donnan, la función Ion-Exchange Membrane de la interfaz Tertiary Current Distribution, Nernst–Planck ahora incluye la opción Add Donnan shift to initial values. Esta opción desplaza automáticamente los valores iniciales de concentración y potencial especificados en la función Initial Values para el nodo activo del dominio Ion-Exchange Membrane, asumiendo que los valores definidos por el usuario representan los valores de un electrolito líquido en equilibrio con la membrana. Los valores iniciales desplazados se utilizan como valores iniciales para el solucionador. Activar esta opción suele simplificar la configuración del modelo, ya que elimina la necesidad de barrer la carga espacial fija de la membrana a un valor deseado distinto de cero mediante un paso de estudio adicional.
Condición periódica
Se ha añadido una nueva función Periodic Condition a las interfaces de Darcy's Law y Richards' Equation para aplicar fácilmente la periodicidad del flujo entre dos o más límites. Además, es posible crear una diferencia de presión entre los límites de origen y destino, ya sea especificando directamente el salto de presión o prescribiendo un caudal másico. La condición periódica se utiliza habitualmente para modelar elementos de volumen representativos y calcular propiedades efectivas para su uso en medios porosos homogeneizados.

Utilizando la nueva función Condición Periódica para estimar la permeabilidad de un medio poroso que consiste en una matriz periódica de esferas.
Opción de salto de presión para el acoplamiento de flujo de medios libres y porosos
El acoplamiento Free and Porous Media Flow Coupling ofrece una nueva opción que incluye un salto de presión en el límite libre-poroso. Esto permite modelar, por ejemplo, la presión osmótica en una membrana semipermeable soportada por un material espaciador poroso o un salto de presión debido a la presión capilar en el caso de un flujo multifásico.

Utilizando la nueva casilla de verificación Incluir salto de presión a través del límite libre-poroso para el Acoplamiento de flujo de medios libres y porosos para modelar la presión osmótica en una membrana semipermeable delgada en una unidad de desalinización.
Nuevos modelos tutoriales
Aperture Shape Optimization for Electroplating of a Printed Circuit Board
Apertura inicial y forma optimizada. La leyenda de color muestra el espesor de deposición correspondiente.
6.3
NOVEDADES
La versión presenta una nueva interfaz para modelar el transporte en cualquier solución de electrolito y nuevas capacidades para la estimación de parámetros.
Transporte de electrolitos concentrados
Ahora está disponible una interfaz Concentrated Electrolyte Transport para modelar el transporte en cualquier solución de electrolitos con un número arbitrario de especies cargadas y no cargadas. Esta interfaz electroquímica se basa en la teoría de soluciones concentradas, donde las ecuaciones de transporte se definen utilizando coeficientes de difusión binarios de Maxwell-Stefan asumiendo electroneutralidad local. A diferencia de las ecuaciones de Nernst-Planck, la teoría de soluciones concentradas no supone que las especies de electrolitos se diluyan en un disolvente neutro de concentración constante. Los electrolitos típicos que se pueden modelar incluyen líquidos iónicos, sales fundidas y soluciones altamente concentradas que presentan gradientes de concentración no despreciables de las especies portadoras de carga. El nuevo modelo tutorial Molten Carbonate Transport muestra esta funcionalidad.

Los ajustes para un electrolito de carbonato fundido y la fracción de iones K + (gráfico) en relación con el número total de cationes en el electrolito en una masa fundida de sal de carbonato fundido.
Estimación de parámetros
El paso de estudio Parameter Estimation y los resolvedores de optimización BOBYQA, Levenberg–Marquardt y IPOPT ahora están disponibles en el módulo Fuel Cell & Electrolyzer Module. La estimación de parámetros se utiliza para determinar los parámetros del modelo ajustando las simulaciones a los datos experimentales.

La configuración para el paso de estudio Parameter Estimation y una curva de polarización con un diagrama de Evans para la reducción de oxígeno y la disolución de metales.
Plantillas de resultados en las interfaces de transporte de especies químicas
La creación de gráficos útiles y visualmente atractivos de sistemas reactivos puede llevar mucho tiempo, ya que a menudo hay muchos reactivos y, por lo tanto, muchos campos de concentración para representar gráficamente. Para ahorrar tiempo, hay una serie de nuevas plantillas de resultados Result Templates en las interfaces Chemical Species Transport. Entre ellas, ahora hay disponibles plantillas de matriz de gráficos que incluyen hasta cuatro concentraciones de especies simultáneamente en la ventana Graphics. Las plantillas de resultados están disponibles para todas las interfaces de transporte de especies químicas, independientemente del producto complementario, pero son especialmente útiles para las interfaces de transporte multicomponente incluidas en los módulos de ingeniería química, así como en el módulo CFD Module, Porous Media Flow Module, Subsurface Flow Module y Microfluidics Module.

La ventana Result Templates y una matriz de gráficos de todos los campos de concentración modelados en el modelo tutorial Fine Chemical Production in a Plate Reactor.
6.2
NOVEDADES
Resistencia de contacto
La versión 6.2 del módulo Electrodeposition Module introduce la capacidad de incluir resistencias de contacto externas en las condiciones de contorno Electric Ground, Electric Potential y Electrode current. Esta función se puede habilitar mediante la casilla de verificación Include contact resistance en la ventana Settings, y la resistencia deseada también se puede especificar en el campo de texto.

Resistencia de contacto habilitada en el nodo Electrode Current en el modelo tutorial Decorative Plating. El gráfico muestra el espesor de la deposición (superficie metálica) y la densidad de corriente promedio.
Nuevo modelo tutorial
Alloy Deposition
Fracciones molares de deposición de níquel y fósforo a diferentes potenciales aplicados.
6.1
NOVEDADES
La versión 6.1 ahora admite actividades no ideales, y la condición de continuidad se ha mejorado para geometrías de ensamblaje con pares de identidad.
Coeficientes de actividad de especies no ideales
La versión 6.1 presenta la funcionalidad para modelar electrolitos no ideales utilizando la teoría de Debye-Hückel. En tales electrolitos, incluso una pequeña variación en la concentración, en el rango milimolar, puede causar cambios medibles en cantidades como el pH y el potencial de equilibrio del electrodo. La capacidad de dar cuenta de los efectos no ideales en el modelado y la simulación es, por lo tanto, una adición importante a las interfaces electroquímicas. En esta versión ahora es posible incluir estos efectos en las interfaces Terciary Current Distribution, Nernst-Planck y Transport of Diluted Species. Los coeficientes de actividad se pueden definir utilizando la actividad de especies de Debye-Hückel o expresiones definidas por el usuario.

Ajustes para la configuración de la actividad de especies Debye-Hückel para electrolitos no ideales.
Condición de continuidad mejorada en contornos del par de ensamblaje
Los pares de ensamblaje se utilizan normalmente cuando se utilizan elementos de malla que no coinciden en cada lado de un límite. La necesidad de usar pares de ensamblajes puede surgir cuando se usan, por ejemplo, mallas de barrido en geometrías 3D complejas. En la versión 6.1, la condición de contorno Continuity para las variables dependientes potenciales (tanto para las fases del electrodo como del electrolito) de los límites de los pares de conjuntos se ha mejorado significativamente en términos de precisión y estabilidad numérica en las interfaces de Current Distribution.
Fórmulas químicas avanzadas
Ahora es posible utilizar fórmulas más avanzadas para especies químicas y reacciones químicas. Los signos de cierre (), [] y {} se pueden usar para indicar unidades estructurales en la fórmula molecular en un complejo de coordinación, por ejemplo. Para mejorar la legibilidad, se pueden usar nombres simplificados en la fórmula de reacción para indicar una especie completa o una parte de la estructura molecular. Cuando se realiza el balanceo de la reacción, se considera la composición y carga completas.
6
NOVEDADES
La versión 6.0 trae una nueva formulación predefinida para adsorción-desorción en superficies de electrodos y un nuevo modelo tutorial.
Especies adsorbedoras-desabsorbentes
Las capacidades de modelado de la condición de contorno Electrode Surface existente se han ampliado con un conjunto de ecuaciones predefinidas que realizan un seguimiento de la ocupación del sitio de la superficie y la concentración superficial de las especies adsorbidas. La nueva sección Adsorbing-Desorbing Species permite modelar la cinética de adsorción-desorción y la termodinámica en las superficies de los electrodos en combinación con reacciones electroquímicas de varios pasos.

La variación de concentración en una geometría deformada de una vía de orificio pasante después de la deposición de cobre.
Flujo de reacción no isotérmica
Ahora hay interfaces multifísicas de Flujo reactivo no isotérmico que configuran automáticamente modelos de flujo reactivo no isotérmico. El acoplamiento multifísico Reacting Flow ahora incluye la opción de acoplar las interfaces Química y Transferencia de calor. Con este acoplamiento, las contribuciones cruzadas entre el calor y las ecuaciones de especies, como la entalpía de cambio de fase o el término de difusión de entalpía, se incluyen en el modelo. La temperatura, la presión y la dependencia de la concentración de diferentes cantidades y propiedades del material también se tienen en cuenta automáticamente, lo que permite realizar el balance de calor y energía utilizando las variables predefinidas correspondientes. Esta nueva función puede verse en el modelo tutorial Dissociation in a Tubular Reactor.

Distribución de temperatura en un reactor tubular.
Deslizamiento poroso para la interfaz de ecuaciones de Brinkman
La capa límite en el flujo en medios porosos puede ser muy delgada y poco práctica de resolver en un modelo de ecuaciones de Brinkman. La nueva opción de tratamiento de paredes deslizantes porosas permite tener en cuenta las paredes sin resolver el perfil de flujo completo en la capa límite. En cambio, se aplica una condición de tensión en las superficies, lo que produce una precisión decente en el flujo masivo mediante la utilización de una solución asintótica del perfil de velocidad de la capa límite. La funcionalidad se activa en la ventana Ajustes de la interfaz de Ecuaciones de Brinkman y luego se utiliza para la condición de pared predeterminada. Esta nueva característica se puede utilizar en la mayoría de los modelos que involucran flujo subterráneo descrito por las ecuaciones de Brinkman y donde el dominio del modelo es grande.

La opción Porous Slip está disponible en la ventana de Ajustes de la interfaz de Ecuaciones de Brinkman
Transferencia de calor en medios porosos
La funcionalidad de transferencia de calor en medios porosos se ha renovado para que sea más fácil de usar. Una nueva área física de Medios porosos ahora está disponible en la rama de Transferencia de calor e incluye las interfaces de Transferencia de calor en medios porosos, Desequilibrio térmico local y Transferencia de calor en lecho empacado. Todas estas interfaces tienen una función similar, la diferencia es que el nodo Medio poroso predeterminado dentro de todas estas interfaces tiene una de tres opciones seleccionadas: Equilibrio térmico local, Desequilibrio térmico local o Lecho empacado. La última opción ha sido descrita anteriormente. La interfaz de Desequilibrio térmico local, que reemplazó al acoplamiento multifísico, corresponde a un modelo de dos temperaturas: una para la fase fluida y otra para la fase sólida. Las aplicaciones típicas pueden implicar un calentamiento o enfriamiento rápido de un medio poroso debido a la fuerte convección en la fase líquida y la alta conducción en la fase sólida, como en las espumas metálicas. Cuando se selecciona la interfaz Equilibrio térmico local, hay nuevas opciones de promedio disponibles para definir la conductividad térmica efectiva según la configuración del medio poroso.
Flujo no isotérmico en medios porosos
La nueva interfaz multifísica de Flujo no isotérmico, Ecuaciones de Brinkman añade automáticamente el acoplamiento entre la transferencia de calor y el flujo de fluido en medios porosos. Combina las interfaces Transferencia de calor en medios porosos y Ecuaciones de Brinkman. Puede verse esta nueva característica en el modelo tutorial Free Convection in a Porous Medium.

El ejemplo tutorial Free Convection in a Porous Medium hace uso de la nueva funcionalidad de flujo no isotérmico. Temperatura (K) en una estructura porosa sometida a gradientes de temperatura y posterior convección libre.
Gestión muy mejorada de materiales porosos
Los materiales porosos ahora se definen en la tabla Propiedades específicas de fase en el nodo Material poroso. Además, se pueden añadir subnodos para las características sólidas y fluídicas donde se pueden definir varios subnodos para cada fase. Esto permite el uso de un mismo material poroso para el flujo de fluidos, el transporte de especies químicas y la transferencia de calor sin tener que duplicar las propiedades y configuraciones del material.

El nuevo nodo Materials para Porous Material ejemplificado en un modelo multiescala de un lecho empacado.
Nuevos modelos tutoriales
Copper Deposition in a Through-Hole Via

Este modelo muestra el mecanismo de llenado de "mariposa" de una vía de orificio pasante durante la electrodeposición de cobre. Debido a la presencia de aditivos supresores de haluros en el electrolito, la electrodeposición ocurre selectivamente en el centro de la vía, evitando así la formación de recintos electrolíticos.
5.6
NOVEDADES
Generación automática de resolvedores iterativos
Los resolvedores Geométrico iterativo y multimalla algebraico ahora son generados automáticamente por los nodos de pasos de estudio (sin embargo, un resolvedor Directo seguirá siempre siendo utilizado por defecto). Habilitar uno de los resolvedores iterativos puede disminuir la memoria utilizada y el tiempo de cálculo en grandes simulaciones.
Linealización de dependencia de la concentración en cinética de electrodo
La nueva opción Linealizar... mejora la cinética para órdenes de reacción no unitarias al evitar problemas al evaluar potencias de números negativos. Esta función está disponible en los nodos Reacción en electrodo y Reacción en electrodo poroso en las interfaces de Distribución de corriente terciaria cuando se utiliza la ecuación de Nernst para el potencial de equilibrio en combinación con la Ley de acción de masas o de Múltiples pasos concentrados para la densidad de corriente de intercambio. La nueva opción Linealizar está activada de forma predeterminada al crear un nuevo modelo y es utilizada por todos los modelos tutoriales que presentan la ecuación de Nernst y la ley de acción de masas o las opciones de cinética de varios pasos concentrados.
Electrodo poroso de alta conductividad
El nuevo nodo de dominio Electrodo poroso de alta conductividad está disponible en la mayoría de las interfaces electroquímicas. Esta funcionalidad puede ser utilizada para electrodos porosos con una alta conductividad en la fase de electrodo de conducción de electrones. Reemplaza la variable espacial para el potencial de electrodo por una variable global, reduciendo asi el número de grados de libertad del problema.
Nueva función de medio poroso
Se encuentra disponible una nueva característica para el manejo de un medio poroso para definir las diferentes fases: sólidos, fluidos y fluidos inmóviles. En la interfaz Transferencia de calor en medios porosos, la función Medio poroso se utiliza para gestionar la estructura del material con una subfunción dedicada para cada fase: fluido , matriz porosa y, opcionalmente, fluidos inmóviles. Este nuevo flujo de trabajo proporciona mayor claridad y mejora la experiencia del usuario. También facilita los acoplamientos multifísicos en medios porosos de una forma más natural. Combinado con el transporte de humedad y el flujo de medios porosos interfaces, las mejoras en la transferencia de calor en medios porosos permiten modelar el flujo no isotérmico y el almacenamiento de calor latente en medios porosos.
Características renovadas de los medios porosos para el transporte de especies diluidas
La interfaz de Transporte de especies diluidas en medios porosos se ha renovado para utilizar el nuevo nodo Medio poroso. Dos nuevas características de dominio, los nodos de Medio poroso y Medio poroso insaturado, están disponibles en la interfaz de Transporte de especies diluidas en medios porosos. Puede utilizarse el nuevo nodo Medio poroso para asignar propiedades de material a las múltiples fases en un medio poroso. Los nuevos nodos tienen contenedores dedicados para definir las propiedades del líquido, el gas y la matriz porosa. Puede verse esta funcionalidad en el tutorial "Ceramic Water Filter with Activated Carbon Core".

Concentración de contaminantes en una vela de filtro de agua cerámico.
Interfaz de campo de fase
La interfaz de Campo de fase se ha añadido al módulo de Electrodeposición. Esta interfaz se puede usar para modelar deformaciones de electrodos donde la topología de la superficie del electrodo cambia como resultado de la disolución/deposición del material del electrodo. Puede verse esta característica en el nuevo modelo tutorial "Copper Deposition in a Trench Using the Phase Field Method".
Configuración más sencilla para modelos de conjuntos de nivel y campo de fase
Se han reestructurado las interfaces de Conjunto de niveles y Campo de fase: ahora se agregan dos nodos de Valores iniciales de forma predeterminada y se ha eliminado la función de interfaz inicial utilizada anteriormente. En cambio, la interfaz inicial se coloca automáticamente en los límites entre los dos nodos de Valores iniciales con diferentes fases iniciales.
![]() |
![]() |
Ajustes para la función Valores iniciales, fluido. Tenga en cuenta que la función de interfaz inicial ya no es necesaria. La distribución inicial del conjunto de niveles o la función de campo de fase se resuelve en el paso de estudio de inicialización de fase.
Nuevo modelo tutorial
Copper Deposition in a Trench Using the Phase Field Method

Un gráfico de superficie de la concentración al final de la simulación. La capa depositada en la zanja forma un recinto de electrolito.
5.5
NOVEDADES
La versión 5.5 trae una interfaz para cálculo del potencial de equilibrio utilizando la ecuación de Nernst, cinética de Butler-Volmer dependiente de la concentración para ecuaciones químicas, y soporte de la interfaz Chemistry para reacciones del electrodo.
Cálculo del potencial de equilibrio utilizando le ecuación de Nernst
En las funcionalidades Electrode Reaction y Porous Electrode Reaction, el potencial de equilibrio de las reacciones del electrodo pueden ser definidas utilizando la nueva opción Nernst Equation, facilitando la configuración de modelos termodinámicamente consistentes. En las interfaces físicas que resuelven concentraciones múltiples, como las interfaces Tertiary Current Distribution y Chemistry, el potencial de equilibrio automáticamente será dependiente de la concentración, basándose en la estequiometría de reacción. Todos los modelos de la librería de aplicaciones que disponen de potenciales de equilibrio Nernstiano han sido actualizados para utilizar la nueva funcionalidad.

Sección de ajustes para la interfaz Equilibrium Potential in the Tertiary Current Distribution, Nernst-Planck. El potencial de equilibrio se calculará automáticamente de la estequiometría de reacción y la concentración de especies.
Cinética de Butler-Volmer dependiente de la concentración
En la funcionalidades Electrode Reaction y Porous Electrode Reaction, la densidad de corriente de intercambio de las expresiones de cinéticas Butler-Volmer y Linearized Butler-Volmer ahora pueden ser automáticamente definidas para ser dependientes de la concentración, basándose en la estequiometría de la reacción. La opción está disponible si la opción Nernst equation es utilizada para definir el potencial de equilibrio. En la interfaz Tertiary Current Distribution, Nernst-Planck, las opciones Mass action law y Lumped multistep están disponibles para el tipo de densidad de corriente de intercambio. Se han actualizado todos los modelos de la Librería de Aplicaciones que disponen de potenciales de equilibrio Nernstiano, para que usen la nueva funcionalidad.

Sección de ajustes para la cinética del electrodo en la interfaz Tertiary Current Distribution, Nernst-Planck. La densidad de corriente de intercambio se calculará automáticamente de la estequiometría de reacción y concentraciones de especies.
Soporte de las interfaz de química para reacciones del electrodo
La interfaz Chemistry, añadida al módulo Batteries and Fuel Cells Module en la versión 5.5, ahora dispone de nodos Electrode Reactions y Electrode Reaction Group. La interaz Chemistry permite definir especies múltiples y reacciones de electrodo, así como reacciones químicas ordinarias. También, las propiedades de mezcla y termodinámica, como potenciales de equilibrio, pueden ser calculados automáticamente por la interfaz Chemistry. Las variables definidas por estas funcionalidades, como las densidades de corriente local y potenciales de equilibrio, pueden estar acopladas a cualquier otra interfaz física aplicable.
5.4
NOVEDADES
- Se ha añadido una enrevesada opción para la corrección efectiva del parámetro de transporte para los nodos de dominio modelando transporte en medios porosos. Esta opción está disponible en las interfaces Primary Current Distribution y Secondary Current Distribution; Tertiary Current Distribution, Nernst-Planck; Lithium-Ion Battery; Battery with Binary Electrode; Single Particle Battery; y Electrophoretic Transport.
- Se ha añadido un ajuste de Equilibrium Potential Handling (Primary Condition) a los nodos de Electrode Surface y Porous Electrode Surface. Cuando están presentes múltiples subnodos Electrode Reaction/Porous Electrode Reaction, este ajuste controla que potencial de equilibrio se utilizará en los estudios de Current Distribution Initialization.
- Se ha añadido una nueva funcionalidad de domino Ion Exchange Membrane a la interfaz Tertiary Current Distribution, Nernst-Planck.
- Ahora se dispone de una funcionalidad mejorada Ion Exchange Membrane Boundary en la interfaz Tertiary Current Distribution, Nernst-Planckque soporta transporte de multiples iones a través de la membrana.
- PARDISO es ahora el resolvedro por defecto para resolvedor Directo en las interfaces Current Distribution y Battery interfaces.
- Se han añadido flujos de contorno precisos a la interfaz Electrophoretic Transport.
- Un nuevo nodo Fast Irreversible Surface Reaction ha sido añadido a las interfaces Tertiary Current Distribution, Nernst-Planck y Transport of Diluted Species.
- Se ha añadido un nuevo tipo de expresión cinética del electrodo Fast Irreversible Electrode Reaction al subnodo Electrode Reaction del nodo Electrode Surface en las interfaces Electroanalysis and Transport of Diluted Species. La misma funcionalidad también se ha añadido a las funcionalidades Internal Electrode Surface y Thin Electrode Surface en la interfaz Tertiary Current Distribution, Nernst-Planck interface.
- La interfaz Electrostatics ahora soporta el paso de estudio Frequency Domain, Perturbation.
- La variable dependiente Electric Potential ahora soporta elementos cuadráticos en la interfaz Tertiary Current Distribution, Nernst-Planck.
- Se ha añadido una nueva sección Heat of Reaction a los nodos Electrode Reaction y Porous Electrode Reaction en las interfaces de electroquímica. La nueva sección soporta ajustes de la tensión termoneutra.
- Una funcionalidad mejorada Periodic Condition en las interfaces Primary Current Distribution; Secondary Current Distribution; y Tertiary Current Distribution, Nernst-Planck proporciona una opción para configurar periodicidad por separado para las fases de electrolito y electrodo, y para poner el offset de potencial.
- Condiciones punto/arista (2D/3D) mejoradas en la intersección entre un nodo multifísico disolvente (corrosivo) Deforming Electrode Surface y un nodo multifísico Nondeforming Boundary.
- La intefaz Level Set ahora está disnponible en Corrosion Module.
- Gráficos por defecto mejorados. Gráficos de vectores para modelos que no utilizan los dominios Porous Electrode ahora utilizan gráficos de líneas de corriente con la nueva funcionalidad de flechas.
- Formulación actualizada para los nodos Flux y No Flux que se incluye en las interfaces de transporte de masa.
- El flujo relativo al flujo convectivo se prescribe en lugar del flujo total.
- La nueva formulación implica que los nodos pueden ser utilizados en una geometría de malla móvil sin compensar la velocidad de contorno.
- Interfaces afectadas: Transport of Diluted Species: Transport of Diluted Species in Porous Media, Tertiary Current Distribution, Nernst-Planck; Electroanalysis; y Electrophoretic Transport.
- Visualización de ecuación actualizada para las ecuaciones gobernantes y condiciones de contorno en interfaces de tranporte de masa. Ecuaciones actualizadas formuladas en términos de flujo relativo al flujo convectivo.
5.3a
NOVEDADES
La versión 5.3a trae una nueva funcionalidad para definir reacciones en un electrodo fino y dos nuevos tutoriales de corrosión.
Nuevo nodo de superficie de electrodo fino
La funcionalidad de Superficie fina de electrodo puede utilizarse para definir reacciones de electrodos que ocurren en un electrodo fino que esté completamente inmerso en electrolito. El electrodo se considera infinitamente delgado, y solo es aplicable en contornos internos de los dominios del electrolito. Puede utilizarse como una alternativa a dibujar el dominio del electrodo real en la geometría del modelo, lo que puede reducir significativamente el tiempo de mallado y resolución, especialmente en modelos 3D. Normalmente se puede utilizar esta funcionalidad para modelar electrodeposición o procesos de corrosión que ocurren en capas finas de metal.

El cátodo fino en el tutorial Car Door en la biblioteca de aplicaciones del Electrodeposition Module ahora se define utilizando la nueva funcionalidad de Superficie fina de electrodo.
Interfaz de flujo en medios libre y poroso renovada
Con la nueva versión de la interfaz Flujo en medio libre y poroso se puede acoplar flujo laminar o libre turbulento con flujo en medios porosos. Esta interfaz sigue siendo única en su acoplamiento con las interfaces electroquímicas para el modelado de electrodos porosos.
Modelo de permeabilidad de Kozeny-Carman
El modelo de permeabilidad de Kozeny-Carman, disponible para la interfaz de Ley de Darcy en COMSOL Multiphysics 5.3a, permite estimar la permeabilidad de medios granulares a partir de la porosidad y el diámetro de las partículas.
Nuevo modelo tutorial: Level-set interface for Cu deposition in a trench
La interfaz Level set ahora se ha añadido al Electrodeposition Module para modelar problemas de electrodeposición donde la topología de la superficie del electrodo depositante cambie como resultado del proceso de deposición.
Nuevo modelo tutorial: Aluminum Anodization
La anodización es una técnica de tratamiento de superficies para crear películas abrasivas y de óxido resistente a la corrosión sobre aluminio. En el tutorial Aluminum Anodization, se utilizan datos experimentales de polarización para modelar la distribución real y el grosor de capa de óxido reultante en una serie de perfiles de aluminio extruidos en una célula de anodización

Distribución de densidad de corriente normalizada en ánodos de aluminio.
5.3
NOVEDADES
La nueva versión 5.3 del módulo proporciona una nueva interfaz Distribución de corriente, Elementos de contorno, una nueva interfaz de Flujo electroforético y nuevas funcionalidades en la interfaz Distribución de densidad de corriente terciaria, Nernst-Planck.
Interfaz Distribución de corriente, Elementos de contorno
La interfaz Distribución de corriente, Elementos de contorno puede utilizarse para resolver problemas de distribución de corriente primaria y secundaria en geometrías basadas en aristas (viga o cable) y elementos de superficie. La interfaz utiliza una formulación del método de elementos de contorno (BEM) para resolver la ecuación de transferencia de carga en un electrolito de conductividad constante, donde los electrodos se especifican en contornos o como tubos con un radio dado alrededor de las aristas. Normalmente se usa esta interfaz para reducir el mallado y el tiempo de resolvedor para grandes geometrías, donde una parte significativa de la geometría puede aproximarse mediante tubos a lo largo de aristas.
Condición de contorno interna de membrana de intercambio de iones en la interfaz Distribución de corriente terciaria, Nernst-Planck
El nuevo nodo de Membrana de intercambio de iones especifica una condición de contorno donde el flujo de iones es continuo, pero donde el potencial del electrolito es discontinuo y se describe por un equilibrio de Donnan. Esta condición se utiliza típicamente en celdas electroquímicas que contienen tanto electrolitos libres como membranas de intercambio de iones, por ejemplo, en problemas de diálisis. Un cambio de potencial de Donnan sobre la interfaz se calcula automáticamente a partir de las concentraciones del ion portador de carga en cada lado de la interfaz.

Potencial del electrolito en una batería de flujo redox de vanadio mostrando los cambios de potencial en las interfaces entre el electrolito libre y la membrana de intercambio de iones.
Nuevos modelos de conservación de carga en la interfaz Distribución de corriente terciaria, Nernst-Planck
Esta interfaz ahora soporta cuatro modelos de conservación de carga diferentes: electroneutralidad, basada en agua con electroneutralidad, soportando electrolito y Poisson.
Funcionalidad de Capa de electrodo fino
La funcionalidad de Capa de electrodo fino puede utilizarse para modelar un revestimiento fino aislante o resistivo, localizado en un contorno interno en un dominio de electrodo. La funcionalidad puede utilizarse como alternativa a dibujar el domino de capa real en la geometría del modelo, lo que reduce significativamente el mallado y el tiempo de resolución, especialmente en modelos 3D. Una capa de electrodo fino puede utilizarse para modelar por ejemplo, una impedancia de contacto entre dos conductores electrónicos. La capa puede configurarse para que sea aislante o resistiva.
Capa de electrolito fino
La funcionalidad de Capa de electrolito fina especifica una capa de electrolito fina en un contorno interno entre dos dominios de electrolito. El nodo puede utilizarse como una alternativa a dibujar la capa real como un dominio en la geometría del modelopar reducir significativamente el mallado y el tiempo de resolución. La condición puede configurarse para que sea aislante, resistiva o una membrana de intercambio de iones. Esta funcionalidad reemplaza a la funcionalidad de Capa aislante fina de versiones anteriores.
Condición de terminal de circuito
Se puede utilizar la funcionalidad de Terminal de circuito en un contorno para especificar un acoplamiento al nodo I vs. U externo en la interfaz de Circuito eléctrico del módulo AC/DC. La condición de Terminal de circuito ahora está disponible como condición de contorno en el nodo Superficie de electrodo y como modo de operación en la interfaz de Baterías de partícula simple. Esto permite incluir modelos de baterías de alta fidelidad en simulaciones de circuitos.
Nueva interfaz de transporte electroforético
La nueva interfaz de Transporte electroforético puede utilizarse para investigar el transporte de ácidos débiles, bases, y anfólitos en solventes acuosos. La interfaz física típicamente se utiliza para modelar varios modos electroforéticos, como electroforesis zonal, isotacoforesis, enfoque isoeléctrico y electroforesis de contorno móvil, pero es aplicable a cualquier sistema acuoso que involucre múltiples equilibrios ácido-base.
5.2a
NOVEDADES
Los usuarios del módulo Electrodeposition Module v5.2a encontrarán un nuevo tipo de cinética de electrodo de Equilibrio termodinámico que permite asumir sobrepotencial cero en las simulaciones. Ahora también se pueden añadir tipos de Resistencias de película y Especies disolución-deposición en las simulaciones, que son de utilidad para modelar electrodos porosos y de arista. Más detalles a continuación.
Nueva interfaz de ecuaciones de Nernst-Planck-Poisson
Nueva condición de contorno Corto externo
La nueva condición de contorno de Corto externo permite cortocircuitar Superficies de electrodo, Electrodos porosos y Electrodos a través de una resistencia concentrada externa. La nueva condición de contorno es adecuada para estudiar cortocircuitos de baterías, por ejemplo, o para interconectar grandes objetos activos electroquímicamente en problemas de protección de la corrosión.
Nuevo nodo multifísico de fuente de calor electroquímico
La nueva interfaz multifísica de Fuente de calor electroquímica ofrece una manera opcional de acoplar las fuentes de calor electroquímicas con una interfaz de transferencia de calor.
Nuevo tipo de cinética de equilibrio termodinámico
Las reacciones de electrodo ahora soportan un nuevo tipo de cinético de electrodo de Equilibrio termodinámico (conocido como Condición primaria en la interfaz de Distribución de corriente secundaria), que considera un sobrepotencial cero (pérdidas de tensión despreciables).
Nuevo soporte para Resistencia de película y Especies disueltas-depositada en electrodos porosos y de arista
Los nodos de Electrodo poroso y Electrodo de arista ahora soportan la suma de Resistencias de película y Especies disueltas-depositadas. Previamente ésto solo estaba soportado en la funcionalidad de Superficie de electrodo. Las resistencias de película y las especies disueltas-depositadas en electrodos porosos pueden, por ejemplo, utilizarse para modelar la formación de interfases electrolito-sólido (SEI) en baterías de ion de litio.
5.2
Nueva app: Espectroscopía de impedancia electroquímica
La espectroscopía de impedancia electroquímica (Electrochemical impedance spectroscopy o EIS) es una técnica habitual en electroanálisis. Se utiliza para estudiar la respuesta armónica de un sistema electroquímico. Se aplica una variación sinusoidal pequeña al potencial del electrodo de trabajo y se analiza la corriente resultante en el dominio de la frecuencia.
Las componentes real e imaginaria de la impedancia dan información sobre las propiedades cinética y de transporte de masa de la célula, así como las propiedades de superficie a través de la capacidad de doble capa.
El objetivo de la app de análisis Electrochemical Impedance Spectroscopy es comprender los gráficos de Nyquist y Bode de la EIS. La app permite variar la concentración de volumen, el coeficiente de difusión, la densidad de carga de intercambio, la capacidad de doble capa y las frecuencias mínima y máxima.

Interfaz gráfica de usuario de la app de demostración de Electrochemical Impedance Spectroscopy mostrando el gráfico de Nyquist.
Nueva app: Voltametría cíclica
Capa delgada aislante en las interfaces de distribución de corriente primaria, secundaria y terciaria.
|
Las láminas delgadas de aislante son insertadas habitualmente en los electrolitos de varios tipos de células electroquímicas. Por ejemplo, pueden ser utilizadas para optimizar. Por ejemplo, pueden utilizarse para optimizar la corriente de distribución en una aplicación de protección de la corrosión o para optimizar la tasa de deposición local en un baño de deposición. La nueva funcionalidad Thin Insulating Layer puede utilizarse para modelar una lámina aislante delgada localizada en un contorno interno en un dominio de electrolito. El nodo puede utilizarse como alternativa para dibujar el dominio de aislamiento real en la geometría del modelo, reduciendo significativamente el tiempo del mallado - especialmente en modelos 3D. |
Interfaces de geometría deformada rediseñada
Compensación para volúmenes de tubo en la interfaz de distribución de corriente en aristas, BEM
Ahora es posible incluir el efecto del volumen de los tubos especificando un radio cuando se utilizan elementos de arista y el método de elemento de contorno (boundary element method o BEM). Esta funcionalidad está disponible en las ecuaciones de transferencia de carga del electrolito en la interfaz Current Distribution on Edges, BEM.

La compensación de volumen en los armazones cilíndricos en una estructura de una plataforma petrolífera se habilita con una casilla de verificación en el nodo Edge Radius.
Nuevo tutorial: Doble capa difusa
En la interfaz electrodo-electrolito, existe una fina capa de carga espacial, llamada la doble capa difusa. En esta región, no se sostiene la electroneutralidad. La doble capa puede ser de interés cuando se modelan dispositivos como supercapacitores electroquímicos y nanoelectrodos.
El tutorial Diffuse Double Layer muestra como acoplar las ecuaciones Nernst-Planck a la ecuación de Poisson para describir una doble capa difusa de acuerdo con el modelo Gouy-Chapman-Stern.
La app de simulación amplía el sencillo ejemplo incluyendo dos electrodos. También considera reacciones faradaicas del electrodo (transferencia de carga). Se resuelve una ecuación adicional para asegurar la conversación global de la carga.
5.1
NOVEDADES
Uso mejorado de las reacciones químicas en medios porosos
Convergencia y estabilidad mejoradas a través del paso de inicialización de la distribución de corriente y nuevos estudios en las interfaces electroquímicas
Área de sección cruzada
Ahora se dispone de una nueva propiedad, área de sección cruzada, disponible en los modelos 1D para la interfaz electroquímica. Con esta funcionalidad, el área de la celda puede ser especificada y la corriente total de la celda calculada. Además, las funcionalidades del contorno corriente del electrolito y corriente del electrodo ahora están disponibles en 1D.
Fuentes de corriente lineal y puntual para modelado eficiente del electrodo
Dominios de elemento infinito en interfaces de la ley de Darcy
Las interfaces de la ley de Darcy ahora soportan dominios de elemento infinito y cálculos más avanzados de flujos de contorno.
5.0
Nuevo modelo: Protuberancia de microconector en 3D
Este nuevo modelo dispone de un acoplamiento de la convección-difusión y electrodeposición con una geometría deformable en 3D.

Protuberancia de microconector en 3D: Este nuevo modelo dispone de un acoplamiento de la convección-difusión y electrodeposición con una geometría deformable en 3D.












COMSOL Multiphysics 6.4