COMSOL Electrochemistry Module 6.4
DESCRIPCIÓN
Electrochemistry Module amplía las posibilidades de COMSOL para diseñar, comprender y optimizar sistemas electroquímicos a través de simulaciones precisas.
CARACTERÍSTICAS
Este producto ofrece grandes beneficios a los investigadores en los laboratorios o a los ingenieros químicos industriales. Funcionalidades como el modelado de distribuciones de densidad de corriente, reacciones electroquímicas y transporte de masa permiten la simulación eficiente para aplicaciones que incluyen electrólisis, sensores electroquímicos, electrodiálisis, electroanálisis y electrobioquímica.
Las interfaces dedicadas en el Electrochemistry Module permiten la definición de voltametría, amperometría, potenciometría, impedancia electroquímica y estudios de coulometría. Las densidades de corriente de intercambio y los sobrepotenciales de activación pueden ser entonces determinados a partir de los resultados combinados de experimentos y simulación.
Las interfaces incluidas en el Electrochemistry Module permiten modelar sistemas asumiendo distribuciones de corriente primaria, secundaria o terciaria, implementadas según las ecuaciones de Nernst-Planck y Butler-Volmer. El módulo Electrochemistry Module cubre un amplio rango de aplicaciones que involucran reacciones electroquímicas. Esto se realiza a través de interfaces para corrientes eléctricas, flujo en medios libres y porosos, transferencia de calor, reacciones químicas de superficie y homogéneas, y transporte de material en medios porosos y diluido. Entre las posibles aplicaciones se incluyen sensores para pH, glucosa o gas, producción de hidrógeno y oxígeno por electrólisis, tratamiento de pérdidas de elctrolito, desalinación de aguas marinas y sistemas bioelectroquímicos.
SECTORES
Algunas de las principales aplicaciones del módulo pueden ser:
- Electroanálisis
- Electrólisis
- Electrodiálisis
- Sensores electroquímicos
- Bioelectroquímica
- Sensores de glucosa
- Sensores de gas
- Electrólisis Cloro-álcali/li>
- Producción de hidrógeno y oxígeno
- Desalinación de aguas marinas
- Producción de aguas ultra puras
- Control de pH de alimentos líquidos
- Control de reacciones electroquímicas en implantes biomédicos
VERSIONES
6.4
NOVEDADES
6.4 presenta una interfaz para modelar electrolitos acuosos, variables de pérdida de potencia para evaluar pérdidas de energía y una nueva función para definir ciclos de carga y descarga.
Inicialización automática de modelos de membranas de intercambio iónico
Para garantizar la electroneutralidad y el cumplimiento de los equilibrios de Donnan, la función Ion-Exchange Membrane de la interfaz Tertiary Current Distribution, Nernst–Planck ahora incluye la opción Add Donnan shift to initial values. Esta opción desplaza automáticamente los valores iniciales de concentración y potencial especificados en la función Initial Values para el nodo activo del dominio Ion-Exchange Membrane, asumiendo que los valores definidos por el usuario representan los valores de un electrolito líquido en equilibrio con la membrana. Los valores iniciales desplazados se utilizan como valores iniciales para el solucionador. Activar esta opción suele simplificar la configuración del modelo, ya que elimina la necesidad de barrer la carga espacial fija de la membrana a un valor deseado distinto de cero mediante un paso de estudio adicional. Consulte esta funcionalidad en el modelo tutorial Desalination in an Electrodialysis Cell.
Variables de evaluación de pérdida de potencia
Ahora es posible evaluar la magnitud de las pérdidas totales de potencia en una celda de batería y comparar las pérdidas entre componentes individuales, como el separador, el electrodo y el conductor de corriente, utilizando las nuevas variables de pérdida de potencia introducidas en las interfaces Electrochemistry. Estas variables también permiten calcular la eficiencia energética de ida y vuelta de una celda de batería bajo un ciclo de carga-descarga, integrando las pérdidas de potencia a lo largo del tiempo.
Las pérdidas de potencia se definen en función de las pérdidas de energía libre de Gibbs de todas las especies reaccionantes y transportadas, lo que permite diferenciar entre pérdidas óhmicas, de concentración y de activación. En las interfaces de batería que admiten la intercalación de partículas, también se definen variables independientes de pérdida de transporte por intercalación. Estas variables están disponibles localmente en dominios y límites, como valores integrados para toda la celda o por nodo de característica individual del árbol del modelo. Las contribuciones de sobrepotencial de cada mecanismo de pérdida (óhmica, de activación y de transporte) se pueden calcular dividiendo por la corriente total.

Pérdidas de potencia relacionadas con el electrodo negativo, el separador y el electrodo positivo en una batería de iones de litio cuando se exponen a una prueba de caracterización de potencia de pulso híbrido.
Ciclo de carga
Para simplificar la configuración de esquemas de ciclos complejos, se ha añadido la nueva función Load Cycle a la mayoría de las interfaces Electrochemistry. Esta función permite definir ciclos de carga y descarga arbitrarios, donde los pasos de Voltage, Power, Current, C-rate, y Rest se pueden añadir en cualquier secuencia. Para cada paso del ciclo de carga, se pueden definir uno o varios criterios dinámicos de continuación o interrupción (conmutación), que pueden basarse en límites de tiempo, voltaje o corriente, así como en condiciones definidas por el usuario mediante expresiones de variables arbitrarias. Además de las versátiles opciones de definición de ciclos de carga, la nueva función también permite la definición automática de sondas de corriente y voltaje, así como de condiciones de parada del resolvedor
Con la subfunción Subloop, es posible, por ejemplo, combinar pruebas de ciclos de carga y descarga a largo plazo con pruebas de rendimiento de referencia. Tenga en cuenta que las subfunciones Power y Subloop solo están disponibles en el Módulo Battery Design Module y el Fuel Cell & Electrolyzer Module.
Este añadido se muestra en el modelo tutorial Capacitive Deionization of Saline Water.

Modelado de baterías con la nueva función Ciclo de Carga. En este modelo, la secuencia del ciclo de carga se define mediante un paso de corriente (descarga), un paso de reposo, un paso de corriente (carga) y un paso de reposo final.
Transporte de electrolitos acuosos
Para modelar electrolitos acuosos con ácidos débiles, bases débiles, anfolitos y especies complejas genéricas, así como para aplicaciones como el modelado de corrosión mecanicista, modelos electroquímicos de sistemas biológicos y el modelado de sensores electroquímicos, una nueva interfaz Aqueous Electrolyte Transport calcula los campos de potencial y concentración de especies en un electrolito acuoso diluido. El transporte se define mediante las ecuaciones de Nernst-Planck, que incorporan difusión, migración y convección, junto con la electroneutralidad y la reacción de equilibrio de autoionización del agua (autoprotólisis). Debido a su gestión más eficiente de las reacciones de las ecuaciones y a su sencilla configuración del modelo, la nueva interfaz puede ser preferible en algunos casos a la interfaz más genérica Tertiary Current Distribution, Nernst–Planck.

Definición de la estequiometría y la cinética de una reacción de electrodo en la interfaz de transporte de electrolito acuoso.
Condición periódica
Se ha añadido una nueva función Periodic Condition a las interfaces de Darcy's Law y Richards' Equation para aplicar fácilmente la periodicidad del flujo entre dos o más límites. Además, es posible crear una diferencia de presión entre los límites de origen y destino, ya sea especificando directamente el salto de presión o prescribiendo un caudal másico. La condición periódica se utiliza habitualmente para modelar elementos de volumen representativos y calcular propiedades efectivas para su uso en medios porosos homogeneizados.

Utilizando la nueva función Condición Periódica para estimar la permeabilidad de un medio poroso que consiste en una matriz periódica de esferas.
Opción de salto de presión para el acoplamiento de flujo de medios libres y porosos
El acoplamiento Free and Porous Media Flow Coupling ofrece una nueva opción que incluye un salto de presión en el límite libre-poroso. Esto permite modelar, por ejemplo, la presión osmótica en una membrana semipermeable soportada por un material espaciador poroso o un salto de presión debido a la presión capilar en el caso de un flujo multifásico.

Utilizando la nueva casilla de verificación Incluir salto de presión a través del límite libre-poroso para el Acoplamiento de flujo de medios libres y porosos para modelar la presión osmótica en una membrana semipermeable delgada en una unidad de desalinización.
6.3
NOVEDADES
La versión presenta una nueva interfaz para modelar el transporte en cualquier solución de electrolito, nuevas capacidades para la estimación de parámetros y la capacidad de definir una fuente de corriente externa en los bordes.
Transporte de electrolitos concentrados
Ahora está disponible una interfaz de transporte de electrolitos concentrados (Concentrated Electrolyte Transport) para modelar el transporte en cualquier solución de electrolitos con un número arbitrario de especies cargadas y no cargadas. Esta interfaz electroquímica se basa en la teoría de soluciones concentradas, donde las ecuaciones de transporte se definen utilizando coeficientes de difusión binarios de Maxwell-Stefan asumiendo electroneutralidad local. A diferencia de las ecuaciones de Nernst-Planck, la teoría de soluciones concentradas no supone que las especies de electrolitos se diluyan en un disolvente neutro de concentración constante. Los electrolitos típicos que se pueden modelar incluyen líquidos iónicos, sales fundidas y soluciones altamente concentradas que presentan gradientes de concentración no despreciables de las especies portadoras de carga. El nuevo modelo tutorial Molten Carbonate Transport muestra esta funcionalidad.
Estimación de parámetros
El paso de estudio Parameter Estimation y los resolvedores de optimización BOBYQA, Levenberg–Marquardt e IPOPT ahora están disponibles en el módulo Corrosion Module. La estimación de parámetros se utiliza comúnmente para determinar valores de parámetros para la cinética y la termodinámica de la corrosión mediante el ajuste a datos experimentales. Esta actualización se puede ver en el modelo tutorial Estimation of Corrosion Kinetics Parameters.

La configuración para el paso de estudio Parameter Estimation y una curva de polarización con un diagrama de Evans para la reducción de oxígeno y la disolución de metales.
Plantillas de resultados en las interfaces de transporte de especies químicas
La creación de gráficos útiles y visualmente atractivos de sistemas reactivos puede llevar mucho tiempo, ya que a menudo hay muchos reactivos y, por lo tanto, muchos campos de concentración para representar gráficamente. Para ahorrar tiempo, hay una serie de nuevas plantillas de resultados Result Templates en las interfaces Chemical Species Transport. Entre ellas, ahora hay disponibles plantillas de matriz de gráficos que incluyen hasta cuatro concentraciones de especies simultáneamente en la ventana Graphics. Las plantillas de resultados están disponibles para todas las interfaces de transporte de especies químicas, independientemente del producto complementario, pero son especialmente útiles para las interfaces de transporte multicomponente incluidas en los módulos de ingeniería química, así como en el módulo CFD Module, Porous Media Flow Module, Subsurface Flow Module y Microfluidics Module.

La ventana Result Templates de resultados y una matriz de gráficos de todos los campos de concentración modelados en el modelo de tutorial Fine Chemical Production in a Plate Reactor.
Nuevos modelos tutoriales
|
Capacitive Deionization of Saline Water |
Molten Carbonate Transport |
6.2
NOVEDADES
Resistencia de contacto
El Electrochemistry Module introduce la capacidad de incluir resistencias de contacto externas en las condiciones de contorno Electric Ground, Electric Potential y Electrode Current. Esta funcionalidad se puede habilitar mediante la casilla de verificación Include contact resistance en la ventana Settings, y la resistencia deseada también se puede especificar en el campo de texto.

Ejemplo de resistencia de contacto habilitada en el nodo Electrode Potential en el modelo tutorial Wire Electrode.
6.1
NOVEDADES
La versión 6.1 ahora admite actividades no ideales, y la condición de Continuidad se ha mejorado para geometrías de ensamblaje con pares de identidad.
Coeficientes de actividad de especies no ideales
La versión 6.1 presenta la funcionalidad para modelar electrolitos no ideales utilizando la teoría de Debye-Hückel. En tales electrolitos, incluso una pequeña variación en la concentración, en el rango milimolar, puede causar cambios medibles en cantidades como el pH y el potencial de equilibrio del electrodo. La capacidad de dar cuenta de los efectos no ideales en el modelado y la simulación es, por lo tanto, una adición importante a las interfaces electroquímicas. En esta versión ahora es posible incluir estos efectos en las interfaces Terciary Current Distribution, Nernst-Planck y Transport of Diluted Species. Los coeficientes de actividad se pueden definir utilizando la actividad de especies de Debye-Hückel o expresiones definidas por el usuario.

Selección de las actividades de especies no ideales de Debye-Hückel. El ajuste se encuentra en los nodos de la interfaz Terciary Current Distribution, Nernst-Planck y Transport of Diluted Species.
Condición de continuidad mejorada en contornos del par de ensamblaje
Los pares de ensamblaje se utilizan normalmente cuando se utilizan elementos de malla que no coinciden en cada lado de un límite. La necesidad de usar pares de ensamblajes puede surgir cuando se usan, por ejemplo, mallas de barrido en geometrías 3D complejas. En la versión 6.1, la condición de contorno Continuity para las variables dependientes potenciales (tanto para las fases del electrodo como del electrolito) de los límites de los pares de conjuntos se ha mejorado significativamente en términos de precisión y estabilidad numérica en las interfaces de Current Distribution y Cathodic Protection.

Elementos de malla que no coinciden entre capas en el modelo Jelly Roll de la biblioteca de aplicaciones del módulo de diseño de batería.
Fórmulas químicas avanzadas
Ahora es posible utilizar fórmulas más avanzadas para especies químicas y reacciones químicas. Los signos de cierre (), [] y {} se pueden usar para indicar unidades estructurales en la fórmula molecular en un complejo de coordinación, por ejemplo. Para mejorar la legibilidad, se pueden usar nombres simplificados en la fórmula de reacción para indicar una especie completa o una parte de la estructura molecular. Cuando se realiza el balanceo de la reacción, se considera la composición y carga completas.
6
NOVEDADES
La versión 6.0 trae una nueva formulación predefinida para adsorción-desorción en combinación con reacciones de electrodos y un modelo tutorial nuevo.
Especies adsorbedoras-desabsorbentes
Las capacidades de modelado de la condición de contorno Electrode Surface existente se han ampliado con un conjunto de ecuaciones predefinidas que realizan un seguimiento de la ocupación del sitio de la superficie y la concentración superficial de las especies adsorbidas. La nueva sección Adsorbing-Desorbing Species permite modelar la cinética de adsorción-desorción y la termodinámica en las superficies de los electrodos en combinación con reacciones electroquímicas de varios pasos.

La variación de concentración en una geometría deformada de una vía de orificio pasante después de la deposición de cobre.
Flujo de reacción no isotérmica
Ahora hay interfaces multifísicas de Flujo reactivo no isotérmico que configuran automáticamente modelos de flujo reactivo no isotérmico. El acoplamiento multifísico Reacting Flow ahora incluye la opción de acoplar las interfaces Química y Transferencia de calor. Con este acoplamiento, las contribuciones cruzadas entre el calor y las ecuaciones de especies, como la entalpía de cambio de fase o el término de difusión de entalpía, se incluyen en el modelo. La temperatura, la presión y la dependencia de la concentración de diferentes cantidades y propiedades del material también se tienen en cuenta automáticamente, lo que permite realizar el balance de calor y energía utilizando las variables predefinidas correspondientes. Esta nueva función puede verse en el modelo tutorial Dissociation in a Tubular Reactor.

Distribución de temperatura en un reactor tubular.
Deslizamiento poroso para la interfaz de ecuaciones de Brinkman
La capa límite en el flujo en medios porosos puede ser muy delgada y poco práctica de resolver en un modelo de ecuaciones de Brinkman. La nueva opción de tratamiento de paredes deslizantes porosas permite tener en cuenta las paredes sin resolver el perfil de flujo completo en la capa límite. En cambio, se aplica una condición de tensión en las superficies, lo que produce una precisión decente en el flujo masivo mediante la utilización de una solución asintótica del perfil de velocidad de la capa límite. La funcionalidad se activa en la ventana Ajustes de la interfaz de Ecuaciones de Brinkman y luego se utiliza para la condición de pared predeterminada. Esta nueva característica se puede utilizar en la mayoría de los modelos que involucran flujo subterráneo descrito por las ecuaciones de Brinkman y donde el dominio del modelo es grande.

La opción Porous Slip está disponible en la ventana de Ajustes de la interfaz de Ecuaciones de Brinkman
Transferencia de calor en medios porosos
La funcionalidad de transferencia de calor en medios porosos se ha renovado para que sea más fácil de usar. Una nueva área física de Medios porosos ahora está disponible en la rama de Transferencia de calor e incluye las interfaces de Transferencia de calor en medios porosos, Desequilibrio térmico local y Transferencia de calor en lecho empacado. Todas estas interfaces tienen una función similar, la diferencia es que el nodo Medio poroso predeterminado dentro de todas estas interfaces tiene una de tres opciones seleccionadas: Equilibrio térmico local, Desequilibrio térmico local o Lecho empacado. La última opción ha sido descrita anteriormente. La interfaz de Desequilibrio térmico local, que reemplazó al acoplamiento multifísico, corresponde a un modelo de dos temperaturas: una para la fase fluida y otra para la fase sólida. Las aplicaciones típicas pueden implicar un calentamiento o enfriamiento rápido de un medio poroso debido a la fuerte convección en la fase líquida y la alta conducción en la fase sólida, como en las espumas metálicas. Cuando se selecciona la interfaz Equilibrio térmico local, hay nuevas opciones de promedio disponibles para definir la conductividad térmica efectiva según la configuración del medio poroso.
Flujo no isotérmico en medios porosos
La nueva interfaz multifísica de Flujo no isotérmico, Ecuaciones de Brinkman añade automáticamente el acoplamiento entre la transferencia de calor y el flujo de fluido en medios porosos. Combina las interfaces Transferencia de calor en medios porosos y Ecuaciones de Brinkman. Puede verse esta nueva característica en el modelo tutorial Free Convection in a Porous Medium.

El ejemplo tutorial Free Convection in a Porous Medium hace uso de la nueva funcionalidad de flujo no isotérmico. Temperatura (K) en una estructura porosa sometida a gradientes de temperatura y posterior convección libre.
Gestión muy mejorada de materiales porosos
Los materiales porosos ahora se definen en la tabla Propiedades específicas de fase en el nodo Material poroso. Además, se pueden añadir subnodos para las características sólidas y fluídicas donde se pueden definir varios subnodos para cada fase. Esto permite el uso de un mismo material poroso para el flujo de fluidos, el transporte de especies químicas y la transferencia de calor sin tener que duplicar las propiedades y configuraciones del material.

El nuevo nodo Materiales para Materiales porosos ejemplificado en un modelo multiescala de un lecho empacado.
Nuevo modelo tutorial
Adsorption-Desorption Voltammetry

Para que ocurra una reacción electroquímica, la especie que reacciona generalmente necesita adsorberse en la superficie del electrodo antes de someterse a una reducción u oxidación, después de lo cual la especie del producto resultante se desorbe nuevamente en el electrolito. Este ejemplo investiga el impacto de varios parámetros cinéticos para la adsorción, desorción y transferencia de electrones cuando se realiza una voltamperometría cíclica en un electrodo plano.
5.6
NOVEDADES
Generación automática de resolvedores iterativos
Los resolvedores Geométrico iterativo y multimalla algebraico ahora son generados automáticamente por los nodos de pasos de estudio (sin embargo, un resolvedor Directo seguirá siempre siendo utilizado por defecto). Habilitar uno de los resolvedores iterativos puede disminuir la memoria utilizada y el tiempo de cálculo en grandes simulaciones.
Linealización de dependencia de la concentración en cinética de electrodo
La nueva opción Linealizar... mejora la cinética para órdenes de reacción no unitarias al evitar problemas al evaluar potencias de números negativos. Esta función está disponible en los nodos Reacción en electrodo y Reacción en electrodo poroso en las interfaces de Distribución de corriente terciaria cuando se utiliza la ecuación de Nernst para el potencial de equilibrio en combinación con la Ley de acción de masas o de Múltiples pasos concentrados para la densidad de corriente de intercambio. La nueva opción Linealizar está activada de forma predeterminada al crear un nuevo modelo y es utilizada por todos los modelos tutoriales que presentan la ecuación de Nernst y la ley de acción de masas o las opciones de cinética de varios pasos concentrados.

Interfaz de usuario del nodo Reacción en electrodo para definir la cinética del electrodo.
Electrodo poroso de alta conductividad
El nuevo nodo de dominio Electrodo poroso de alta conductividad está disponible en la mayoría de las interfaces electroquímicas. Esta funcionalidad puede ser utilizada para electrodos porosos con una alta conductividad en la fase de electrodo de conducción de electrones. Reemplaza la variable espacial para el potencial de electrodo por una variable global, reduciendo asi el número de grados de libertad del problema.
Características renovadas de los medios porosos para el transporte de especies diluidas
La interfaz de Transporte de especies diluidas en medios porosos se ha renovado para utilizar el nuevo nodo Medio poroso. Dos nuevas características de dominio, los nodos de Medio poroso y Medio poroso insaturado, están disponibles en la interfaz de Transporte de especies diluidas en medios porosos. Puede utilizarse el nuevo nodo Medio poroso para asignar propiedades de material a las múltiples fases en un medio poroso. Los nuevos nodos tienen contenedores dedicados para definir las propiedades del líquido, el gas y la matriz porosa. Puede verse esta funcionalidad en el tutorial "Ceramic Water Filter with Activated Carbon Core".

Concentración de contaminantes en una vela de filtro de agua cerámico.
5.5
NOVEDADES
La versión 5.5 trae una interfaz para el cálculo del potencial de equilibrio utilizando la ecuación de Nernst y cinética Butler-Volmer dependiente de la concentración dessde las ecuaciones químicas y soporte de la interfaz Química para reacciónes de electrodo.
Cálculo de potencial de equilibrio utilizando la ecuación de Nernst
En las funcionalidades Electrode Reaction y Porous Electrode Reaction, el potencial de equilibrio de las reacciones del electrodo pueden ser definidas utilizando la nueva opción Nernst Equation, facilitando la configuración de modelos termodinámicamente consistentes. En las interfaces físicas que resuelven concentraciones múltiples, como las interfaces Tertiary Current Distribution y Chemistry, el potencial de equilibrio automáticamente será dependiente de la concentración, basándose en la estequiometría de reacción. Todos los modelos de la librería de aplicaciones que disponen de potenciales de equilibrio Nernstiano han sido actualizados para utilizar la nueva funcionalidad.

Sección de ajustes para la interfaz Equilibrium Potential in the Tertiary Current Distribution, Nernst-Planck. El potencial de equilibrio se calculará automáticamente de la estequiometría de reacción y la concentración de especies.
Cinética de Butler-Volmer dependiente de la concentración
En la funcionalidades Electrode Reaction y Porous Electrode Reaction, la densidad de corriente de intercambio de las expresiones de cinéticas Butler-Volmer y Linearized Butler-Volmer ahora pueden ser automáticamente definidas para ser dependientes de la concentración, basándose en la estequiometría de la reacción. La opción está disponible si la opción Nernst equation es utilizada para definir el potencial de equilibrio. En la interfaz Tertiary Current Distribution, Nernst-Planck, las opciones Mass action law y Lumped multistep están disponibles para el tipo de densidad de corriente de intercambio. Se han actualizado todos los modelos de la Librería de Aplicaciones que disponen de potenciales de equilibrio Nernstiano, para que usen la nueva funcionalidad.

Sección de ajustes para la cinética del electrodo en la interfaz Tertiary Current Distribution, Nernst-Planck. La densidad de corriente de intercambio se calculará automáticamente de la estequiometría de reacción y concentraciones de especies.
Soporte de las interfaz de química para reacciones del electrodo
La interfaz Chemistry, añadida al módulo Corrosion Module en la versión 5.5, ahora dispone de nodos Electrode Reactions y Electrode Reaction Group. La interaz Chemistry permite definir especies múltiples y reacciones de electrodo, así como reacciones químicas ordinarias. También, las propiedades de mezcla y termodinámica, como potenciales de equilibrio, pueden ser calculados automáticamente por la interfaz Chemistry. Las variables definidas por estas funcionalidades, como las densidades de corriente local y potenciales de equilibrio, pueden estar acopladas a cualquier otra interfaz física aplicable.

Dos interfacese Chemistry son usadas en este modelo para definier los potenciales de equilibrio y las cinéticas de reacciones en un electrolizador de agua de óxido sólido.
5.3
NOVEDADES
La versión 5.3 de este módulo trae una nueva interfaz de Flujo electroforético, nuevas funcionalidades en la interfaz de Distribución de corriente terciaria, Nernst-Planck y una nueva funcionalidad de Terminal de circuito para conectar modelos de batería con simulaciones de circuitos.
Nueva interfaz de transporte electroforético
La nueva interfaz de Transporte electroforético puede utilizarse para investigar el transporte de ácidos débiles, bases, y anfólitos en solventes acuosos. La interfaz física típicamente se utiliza para modelar varios modos electroforéticos, como electroforesis zonal, isotacoforesis, enfoque isoeléctrico y electroforesis de contorno móvil, pero es aplicable a cualquier sistema acuoso que involucre múltiples equilibrios ácido-base.
Nuevo tutorial: Zone Electrophoresis
Este tutorial sirve como una introducción para la interfaz de Transporte electroforético. Se configura un problema de electroforesis zonal para la separación de una muestra que contiene anilina y piridina.
Condición de contorno interna de membrana de intercambio de iones en la interfaz Distribución de corriente terciaria, Nernst-Planck
El nuevo nodo de Membrana de intercambio de iones especifica una condición de contorno donde el flujo de iones es continuo, pero donde el potencial del electrolito es discontinuo y se describe por un equilibrio de Donnan. Esta condición se utiliza típicamente en celdas electroquímicas que contienen tanto electrolitos libres como membranas de intercambio de iones, por ejemplo, en problemas de diálisis. Un cambio de potencial de Donnan sobre la interfaz se calcula automáticamente a partir de las concentraciones del ion portador de carga en cada lado de la interfaz.

Potencial del electrolito en una batería de flujo redox de vanadio mostrando los cambios de potencial en las interfaces entre el electrolito libre y la membrana de intercambio de iones.
Nuevos modelos de conservación de carga en la interfaz Distribución de corriente terciaria, Nernst-Planck
Esta interfaz ahora soporta cuatro modelos de conservación de carga diferentes: electroneutralidad, basada en agua con electroneutralidad, soportando electrolito y Poisson.
Condición de terminal de circuito
Se puede utilizar la funcionalidad de Terminal de circuito en un contorno para especificar un acoplamiento al nodo I vs. U externo en la interfaz de Circuito eléctrico del módulo AC/DC. La condición de Terminal de circuito ahora está disponible como condición de contorno en el nodo Superficie de electrodo y como modo de operación en la interfaz de Baterías de partícula simple. Esto permite incluir modelos de baterías de alta fidelidad en simulaciones de circuitos.
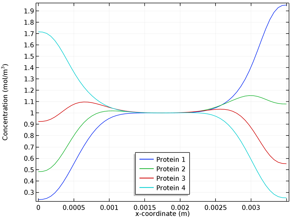
Tutorial actualizado: Separación isoeléctrica
Este ejemplo aplica las interfaces de Transporte electroforético y Flujo laminar para modelar la separación isoeléctrica en un dispositivo de electroforesis de flujo libre. Una corriente conteniendo cuatro proteínas diferentes se separa en corrientes concentradas por medio del transporte migrativo en un campo eléctrico.

Distribución de concentración de las proteínas en la salida del dispositivo.
5.2a
NOVEDADES
Electrochemistry Module 5.2a incluye nuevas interfaces incluyendo la de las Ecuaciones de Nernst-Planck-Poisson Equations, útil para investigar las distribuciones de cargas y iones dentro de la doble capa electroquímica donde no se puede considerar neutralidad de carga, y un nuevo nodo multifísico que permite acoplar fácilmente fuentes de calor electroquímico a una interfaz de transferencia de calor.
Nueva interfaz de ecuaciones de Nernst-Planck-Poisson
Nueva condición de contorno Corto externo
La nueva condición de contorno de Corto externo permite cortocircuitar Superficies de electrodo, Electrodos porosos y Electrodos a través de una resistencia concentrada externa. La nueva condición de contorno es adecuada para estudiar cortocircuitos de baterías, por ejemplo, o para interconectar grandes objetos activos electroquímicamente en problemas de protección de la corrosión.
Nuevo nodo multifísico de fuente de calor electroquímico
La nueva interfaz multifísica de Fuente de calor electroquímica ofrece una manera opcional de acoplar las fuentes de calor electroquímicas con una interfaz de transferencia de calor.
Nuevo tipo de cinética de equilibrio termodinámico
Las reacciones de electrodo ahora soportan un nuevo tipo de cinético de electrodo de Equilibrio termodinámico (conocido como Condición primaria en la interfaz de Distribución de corriente secundaria), que considera un sobrepotencial cero (pérdidas de tensión despreciables).
5.2
Nueva app: Espectroscopía de impedancia electroquímica<< /b>
La espectroscopía de impedancia electroquímica (Electrochemical impedance spectroscopy o EIS) es una técnica habitual en electroanálisis. Se utiliza para estudiar la respuesta armónica de un sistema electroquímico. Se aplica una variación sinusoidal pequeña al potencial del electrodo de trabajo y se analiza la corriente resultante en el dominio de la frecuencia.
Las componentes real e imaginaria de la impedancia dan información sobre las propiedades cinética y de transporte de masa de la célula, así como las propiedades de superficie a través de la capacidad de doble capa.
El objetivo de la app de análisis Electrochemical Impedance Spectroscopy es comprender los gráficos de Nyquist y Bode de la EIS. La app permite variar la concentración de volumen, el coeficiente de difusión, la densidad de carga de intercambio, la capacidad de doble capa y las frecuencias mínima y máxima.

Interfaz gráfica de usuario de la app de demostración de Electrochemical Impedance Spectroscopy mostrando el gráfico de Nyquist.
Nueva app: Voltametría cíclica
Nuevo tutorial: Doble capa difusa
En la interfaz electrodo-electrolito, existe una fina capa de carga espacial, llamada la doble capa difusa. En esta región, no se sostiene la electroneutralidad. La doble capa puede ser de interés cuando se modelan dispositivos como supercapacitores electroquímicos y nanoelectrodos.
El tutorial Diffuse Double Layer muestra como acoplar las ecuaciones Nernst-Planck a la ecuación de Poisson para describir una doble capa difusa de acuerdo con el modelo Gouy-Chapman-Stern.
La app de simulación amplía el sencillo ejemplo incluyendo dos electrodos. También considera reacciones faradaicas del electrodo (transferencia de carga). Se resuelve una ecuación adicional para asegurar la conversación global de la carga.
5.1
NOVEDADES
Uso mejorado de las reacciones químicas en medios porosos
Convergencia y estabilidad mejoradas a través del paso de inicialización de la distribución de corriente y nuevos estudios en las interfaces electroquímicas
Área de sección cruzada
Ahora se dispone de una nueva propiedad, área de sección cruzada, disponible en los modelos 1D para la interfaz electroquímica. Con esta funcionalidad, el área de la celda puede ser especificada y la corriente total de la celda calculada. Además, las funcionalidades del contorno corriente del electrolito y corriente del electrodo ahora están disponibles en 1D.
Fuentes de corriente lineal y puntual para modelado eficiente del electrodo
Dominios de elemento infinito en interfaces de la ley de Darcy
Las interfaces de la ley de Darcy ahora soportan dominios de elemento infinito y cálculos más avanzados de flujos de contorno.
5.0
Funcionalidad de electrodo contador para interfaz de electroanálisis
La nueva funcionalidad se incluye en todos los productos electrquímicos y tiene en cuenta el balance de carga global de la celda. Como ilustración de este caso, véase el modelo actualizado del tutorial del Sensor de Glucosa. Esta funcionalidad está también disponible en los módulo Batteries & Fuel Cells, Electrodeposition y Corrosion Module.





