Software matemático para ingenieros mecánicos
- Detalles
- Categoría: Maple
- Visto: 3584
Los Ingenieros Mecánicos necesitan las funcionalidades que se encuentran en Maple
Los ingenieros mecánicos son simplemente únicos. Su trabajo es técnicamente complejo y desafiante, de amplio alcance y está sujeto a plazos cada vez más estrictos. Maplesoft comprende estos desafíos y ha incorporado en Maple funciones que los abordan específicamente, como por ejemplo:
Capturar la intención del diseño
Un documento de maple combina matemáticas, texto, imágenes y gráficos en vivo en un solo documento. De hecho, Maple captura las suposiciones inherentes y el proceso de pensamiento detrás de un análisis, así como los cálculos.
Matemáticas simbólicas y numéricas de alto nivel
Maple ofrece herramientas prácticas de alto nivel para matemáticas numéricas y simbólicas, análisis de datos y programación. Estas herramientas están diseñadas para problemas de ingeniería tanto simples como complejos.
Los motores matemáticos simbólicos y numéricos están perfectamente conectados; Los parámetros, ecuaciones y cálculos pueden fluir con naturalidad entre los dos. Esto significa que se las ecuaciones se pueden derivar y evaluar numéricamente en un sencillo y cohesivo flujo de trabajo.
Además, el lenguaje de programación de Maple se beneficia de un entorno de desarrollo interactivo y puede utilizar cualquier herramienta matemática de alto nivel de Maple.
- El código es más rápido de desarrollar, depurar y verificar
- Puede utilizar funciones matemáticas de alto nivel de Maple, y
- Es más fácil de leer por las personas
Reduce el riesgo de cálculo con unidades
Prácticamente todas las cantidades con las que se encuentra un ingeniero mecánicos, ya sea la fuerza, temperatura o velocidad, tienen una unidad. Las unidades se integran fluidamente en Maple y se pueden utilizar en cálculos simples, así como en la resolución, optimización y visualización de ecuaciones numéricas.

El uso de unidades en los cálculos elmina el riesgo de introducir errores de conversión de unidades y también actúa como control de la validez física de las ecuaciones.
Datos termofísicos y temoquímicos
Maple contiene datos temofísicos y temoquímicos precisos, determinados experimentalmente, para fluidos puros, mezclas de fluidos y sólidos. Los ingenieros utilizan Maple para analizar ciclos de refrigeración, diseñar intercambiadores de calor, combustión y cohetes, análisis psicométricos y sistemas de secado.

Aplicaciones de ingeniería mecánica e historias de usuarios
Dado que Maple hace que las mátemáticas de ingeniería sean lo suficientemente simples para obtener resultados rápidos, no sorprende que muchos ingenieros mecánicos utilicen Maple. Veamos ahora qué hacen con Maple y conozcamos 5 aplicaciones de software matemático para ingenieros mecánicos.
Análisis estático de cerchas y pórticos.Los análisis de pórticos y cerchas implican aplicar los conceptos de equilibrio estático a un sistema. El resultado son ecuaciones que describen las fuerzas en un sistema. El marco teórico involucra conceptos como la condición de equilibrio estático (es decir, la suma de las fuerzas y momentos en un punto son cero), el método de los nodos y el método de las secciones. Estos conceptos dan como resultado ecuaciones que deben derivarse metódicamente y equilibrarse dimensionalmente. Esto requiere notación matemática natural, documentación rica y el uso de unidades. Las unidades, en particular, actúan como control de la validez física de las ecuaciones. Maple satisface estos requisitos con documentos matemáticamente vivos que también pueden incluir imágenes y texto para ayudar a una mayor comprensión. Estos documentos son auditables y son una alternativa superior a los cálculos manuales en papel u hojas de cálculo. |
|
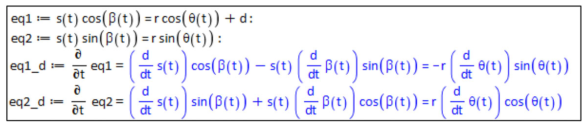
Cinemática de dispositivos mecánicos
Maple es el entorno ideal para el análisis cinemático basado en ecuaciones de dispositivos mecánicos.
- Se pueden introducir ecuaciones cinemáticas y relaciones geométricas, incluidas ecuaciones diferenciales, en notación matemática natural auditable.
- Se pueden resolver ecuaciones cinemáticas utilizando los potentes resolvedores de ecuaciones diferenciales de Maple o con técnicas matriciales.
- Las ecuaciones geométricas se pueden reorganizar y manipular simbólicamente. Aquí diferenciamos las restricciones geométricas de un dispositivo de retorno rápido para obtener las ecuaciones de velocidad lineal y angular.

- El movimiento del dispostivos se puede visualizar y animar

El calor fluye a través de un ciclo termodinámico
Puede utilizarse Maple para calcular los flujos de calor alrededor de un ciclo termodinámico, como los ciclos de refrigeración por compresión de vapor, los ciclos de Rankine, los ciclos de Brayton y más. Incluso puede optimizarse el sistema para maximizar el coeficiente de rendimiento.
Algunos usuarios emplean Maple para realizar ciclos orgánicos de Rankine; estos se utilizan a menudo para recuperar calor de baja calidad de, por ejemplo, los escapes de fábrica.
Además, otros ingenieros mecánicos utilizan Maple para el diseño de turbinas de vapor.
Estas aplicaciones utilizan las herramientas de Maple para las propiedades termodinámicas y de transporte de fluidos. Esta característica tiene en cuenta las unidades: las entalpías, las densidades y otras propiedades tienen las unidades adecuadas.

Esto significa que ya no se tendrá que depender de gráficos impresos o tablas de búsqueda para obtener datos fluidos.
Con esta característica que respalda el trabajo, pueden calcularse y optimizar los flujos de calor alrededor de un ciclo termodinámico. Las aplicaciones también se pueden implementar libre de derechos de autor con Maple Player.

Cálculos de flujo de fluidos
Los ingenieros mecánicos resuelven periódicamente problemas de flujo de fluidos. Podrían estar calculando las caídas de presión y los caudales en redes de tuberías, o examinando las tensiones y las ganancias de calor causadas por la compresión del aceite en un cilindro hidráulico.
Estas aplicaciones involucran conceptos como la Ley de Bernoulli, factores de fricción (por ejemplo, la ecuación de Colebrook) y las propiedades de transporte de líquidos.
Estas aplicaciones a menudo requieren
- Notación matemática natural, para garantizar que las ecuaciones puedan validarse completamente
- Unidades, para eliminar errores de conversión y garantizar la coherencia dimensional.
- Fuertes resolvedores numéricos capaces de resolver sistemas con parámetros que varían mucho en magnitud.
- Ajuste de curvas, para adaptar datos empíricos de hojas de datos de bombas a curvas de altura

Robótica
Los ingenieros mecánicos están a la vanguardia del diseño de sistemas robóticos, desde el diseño geométrico y mecánico hasta la escritura de controles y software de sistemas.
Maple ayuda a desarrollar las matrices de transformación de Denavit & Hartenberg que describen el movimiento de un sistema de brazo robótico de múltiples grados de libertad. Puede utilizarse y luego calcular el movimiento de cada articulación utilizando los resolvedores numéricos y simbólicos de Maple. Los resolvedores simbólicos pueden incluso permitirle derivar ecuaciones simbólicas para describir la cinemática inversa del sistema.

