CONSEJO DE MODELADO: Procesado de eventos AERMOD
- Detalles
- Categoría: Lakes
- Visto: 705
Al modelar con grupos de fuentes en el modelo de dispersión de aire AERMOD, no siempre es evidente la contribución de cada fuente a la concentración calculada. Para facilitar el análisis de la contribución de las fuentes, AERMOD incluye una rutina denominada EVENT model, que analiza eventos especificados por el usuario (p. ej., concentraciones de diseño, violaciones de umbrales) e imprime la contribución de cada fuente al evento a corto plazo (es decir, 24 horas).
Para iniciar el procesado de EVENTOS (EVENT), primero debe configurarse AERMOD para que genere un archivo de entrada de procesado de EVENTOS. Esto se realiza mediante la ruta de control Control Pathway. En AERMOD View encontrará esta opción en la sección Event/Error Files.

El modelo EVENT consta de dos niveles: Detail (DETAIL) y Source Contribution (SOCONT). El modo SOCONT muestra la concentración promedio de cada fuente durante el período correspondiente al evento analizado. El modo DETAIL también incluye las concentraciones promedio horarias de cada fuente para cada hora del período de promedio.
Con el archivo de entrada del modelo EVENT habilitado, la ejecución de AERMOD generará una lista de eventos en el archivo especificado. De forma predeterminada, las concentraciones de diseño (las opciones de salida definidas en la Receptor Table de la Otuput Pathway) y cualquier violación de umbral identificada en los Threshold Violation Files (palabra clave OU MAXIFILE) se escriben en el archivo de entrada de procesado EVENT.
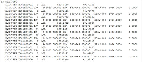
La imagen a continuación es un ejemplo de archivo de entrada de procesado de EVENT que contiene concentraciones altas-primero-altas y altas-segundas-altas para los períodos de promedio de 3 y 24 horas, además de algunos eventos de violación de umbral.

El siguiente paso es ejecutar AERMOD de nuevo utilizando el archivo de entrada de procesado EVENT. Esto inicializará la ejecución del modelo EVENT para calcular las contribuciones de la fuente. En AERMOD View, esto se realiza mediante el menú Run.


El archivo de salida EVENT Output File se puede abrir en cualquier editor de texto. En AERMOD View, vaya al menú Output y seleccione EVENT Output File para ver los datos.
Además de los datos de contribución de la fuente, también se imprimen las condiciones meteorológicas como referencia. El siguiente ejemplo muestra un evento correspondiente a una violación del umbral para un promedio de 3 horas.
