COMSOL Nonlinear Structural Materials Module 6.4
DESCRIPCIÓN
El módulo Nonlinear Structural Materials complementa las funcionalidades de los módulos de mecánica estructural y MEMS añadiendo modelos de materiales no lineales.
Cuando las deformaciones estructurales se hacen muy grandes, ciertas no linealidades en las propiedades del material fuerzan al usuario a abandonar los modelos de materiales lineales. Esta situación también ocurre en algunas condiciones de operación, como por ejemplo a altas temperaturas.
CARACTERÍSTICAS
El módulo Nonlinear Structural Materials añade modelos de materiales elastoplásticos, viscoplásticos, con deformación por fluencia lenta e hiperelásticos. Los modelos de materiales definidos por el usuario basados en invariantes de tensión, reglas de flujo y leyes de deformación por fluencia lenta se pueden crear fácilmente directamente en la interfaz de usuario tomando como punto de partida las leyes constitutivas incluidas.
SECTORES
Las funcionalidades de este módulo lo hacen especialmente atractivo para una amplia variedad de áreas de aplicación que incluyen el desarrollo y análisis de modelos donde se trabaja con materiales hiperelásticos:
- Arruda-Boyce
- Money-Rivlin: 2, 5, y 9 parámetros
- Murnaghan
- Neo-Hookean
- Ogden
- St. Venant-Kirchhoff
- Definidos por el usuario basados en invariantes de tensión.
Modelos de plasticidad con tensiones grandes o pequeñas utilizando diferentes modelos de endurecimiento:
- Endurecimiento isotrópico, cinemático y perfectamente plástico
- Plasticidad de gran tensión, para materiales elásticos e hiperelásticos
- Plasticidad ortotrópica de Hill
- Criterio de producción de Tresca y von Mises
- Reglas de flujo definidas por el usuario
Modelos de materiales viscoplásticos y con deformación de fluencia lenta:
- Anand
- Coble
- Deviatoric
- Garofalo
- Nabarro-Herring
- Norton
- Norton-Bailey
- Potencial
- Definido por el usuario
- Volumétrico
- Weertman
VERSIONES
6.4
NOVEDADES
6.4 introduce modelos de materiales no lineales y modelado de daños por campos de fase para dinámica explícita, además de una nueva función que permite un cálculo más rápido de las deformaciones inelásticas.
Modelos de materiales no lineales para dinámica explícita
Para mejorar la eficiencia en el análisis explícito en el tiempo, se han revisado los modelos de materiales para hiperelasticidad, plasticidad, fluencia y viscoplasticidad. Estas mejoras también ofrecen importantes ventajas en el rendimiento en otros tipos de estudios.

Batería cilíndrica sometida a una prueba de indentación, que incluye mecánica de contacto y plasticidad dependiente de la presión
Nueva interfaz multifísica de dinámica explícita para daños en campos de fase
Para modelar la evolución del daño y las grietas en sólidos bajo condiciones dinámicas, la nueva interfaz multifísica Phase-Field Damage, Explicit Dynamics combina la interfaz de Solid Mechanics, Explicit Dynamics con la interfaz de Phase Field in Solids mediante un acoplamiento multifísico bidireccional de Phase-Field Damage. Consulte la nueva interfaz en el tutorial actualizado Phase-Field Modeling of Dynamic Crack Branching.
Descomposición de la deformación de Hencky
La nueva opción de descomposición de deformación Logarithmic (Hencky) permite un cálculo más rápido de las deformaciones inelásticas en comparación con la descomposición multiplicativa tradicional. Por ejemplo, los algoritmos de plasticidad se ejecutan mucho más rápido con este método. La mejora en el rendimiento al seleccionar esta opción se demuestra en el modelo tutorial actualizado Compression of an Elastoplastic Pipe, donde el tiempo de cálculo se reduce en un 30%.
Nuevos modelos tutoriales
|
Indentation of a Cylindrical Battery Cell |
Large-Strain Poroviscoelastic Model of Brain Tissue* |
6.3
NOVEDADES
Para los usuarios del módulo de materiales estructurales no lineales, la versión 6.3 de COMSOL Multiphysics® ofrece mejoras de rendimiento, nuevos modelos de materiales para plasticidad dependiente de la presión y varios modelos tutoriales nuevos.
Mejoras de rendimiento
El coste computacional de las operaciones de ensamblaje para aleaciones con fluencia, plasticidad, memoria de forma y viscoplasticidad se ha reducido significativamente.

La ventana Settings para la función Creep y modelos de la deformación y temperatura de fluencia equivalentes en un álabe de estator de turbina.
Mejoras en la plasticidad
Hay disponible un nuevo algoritmo Backward Euler, damped para la función Plasticity. El nuevo método tiene como objetivo mejorar la robustez de los modelos de plasticidad altamente no lineales. Además, hay disponible un nuevo modelo de endurecimiento isotrópico de Johnson-Cook modificado (Modified Johnson–Cook).

La ventana Settings para la función Plasticity y un modelo de la tensión en un stent biomédico.
Plasticidad dependiente de la presión
Se ha añadido un nuevo subnodo Pressure-Dependent Plasticity a los nodos Linear Elastic Material, Nonlinear Elastic Material, y Hyperelastic Material en la interfaz de mecánica de sólidos Solid Mechanics. Esta nueva clase de modelos de materiales puede manejar grandes deformaciones compresivas y se ha mejorado con modelos de límite de compresión y límite de tensión.

La ventana Settings para el subnodo Plasticity dependiente de la presión y la deformación plástica equivalente de una batería.
Nuevos modelos tutoriales
|
Diaphragm Accumulator |
Phase-Field Modeling of Dynamic Crack Branching |
6.2
NOVEDADES
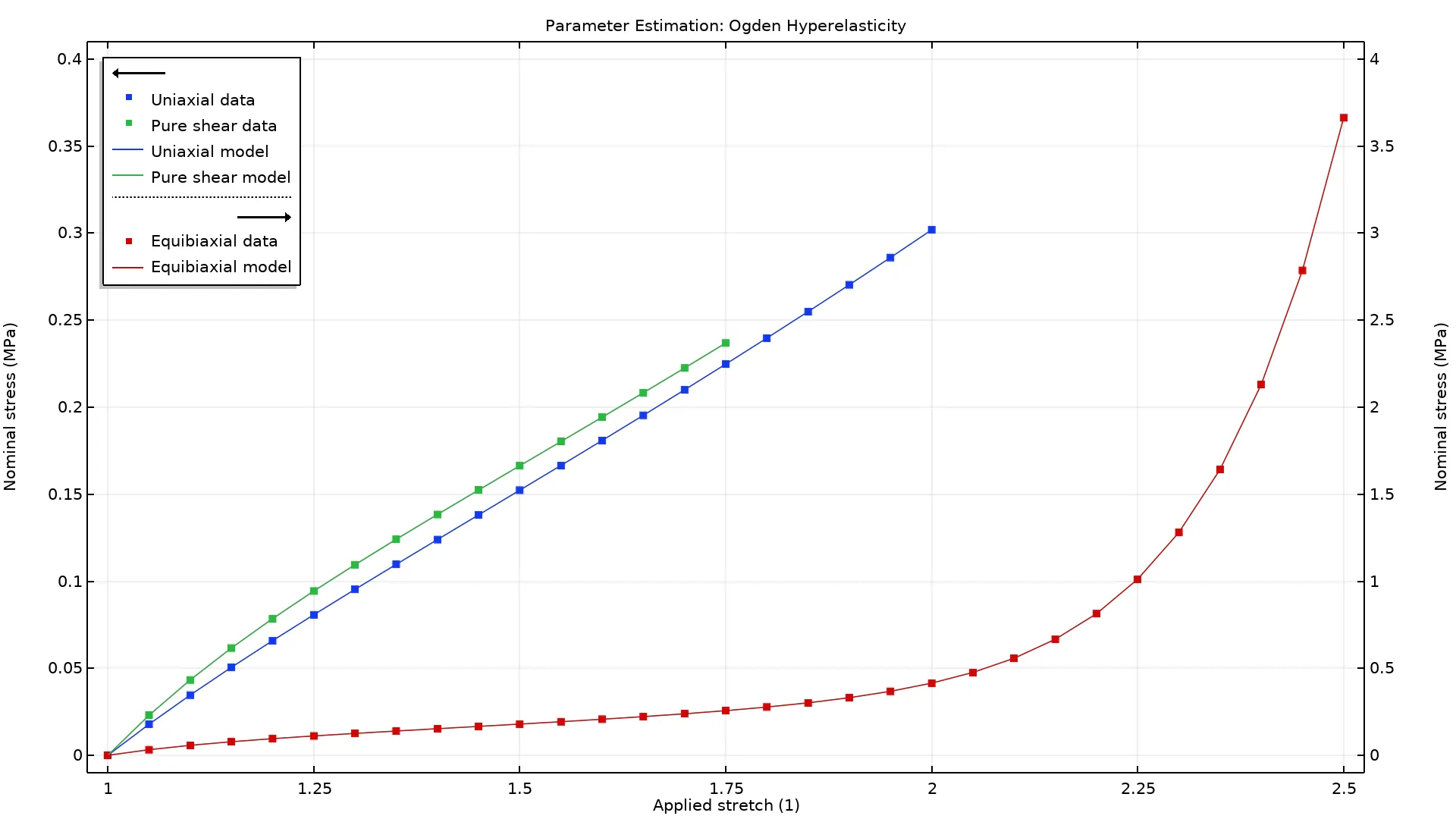
Estimación de parámetros
En esta versión, se han introducido capacidades mejoradas de estimación de parámetros, incluidas mejoras en los solucionadores de Levenberg-Marquardt y del optimizador de puntos interiores (IPOPT). Estas adiciones pueden mejorar significativamente el rendimiento de la estimación de parámetros de datos experimentales, incluidos casos de carga uniaxial, biaxial y cíclica.

Estimación de parámetros de un material de Ogden hiperelástico, utilizando una combinación de datos uniaxiales, de corte puro y equibiaxiales.
Viscoplasticidad del polímero
Para analizar con precisión estructuras hechas de materiales poliméricos sólidos, se han añadido nuevos modelos de materiales para la viscoplasticidad de los polímeros. Estos incluyen los modelos Bergstrom-Boyce, Bergstrom-Bischoff y redes paralelas. Esta nueva estructura puede soportar grandes deformaciones viscoplásticas y se basa en la descomposición multiplicativa de gradientes de deformación.
Mejoras de fibra
La versión 6.2 introduce varias mejoras a la función Fiber, que incluyen:
- Fibras compresibles dentro del modelo de material hiperelástico Holzapfel-Gasser-Ogden
- La característica Thermal Expansion para fibras incrustadas en materiales hiperelásticos.
- El modelo de material Uniaxial data para manejar relaciones tensión-deformación no lineales para fibras dentro de las características Linear Elastic Material y Nonlinear Elastic Material
Estas nuevas mejoras se pueden ver en el nuevo modelo tutorial Tire Inflation.

Refuerzo de fibras en una prótesis valvular aórtica.
Mejoras en la aleación con memoria de forma
Las actualizaciones para aleaciones con memoria de forma incluyen:
- Flexibilidad mejorada en la especificación de parámetros de materiales para la transformación de fases, lo que permite introducir entradas como tensiones iniciales y finales o temperaturas iniciales y finales.
- Introducción de un nuevo gráfico predefinido que muestra el diagrama de fases tensión-temperatura, que ilustra la transición de austenita a martensita.
- Método de penalización significativamente mejorado para imponer límites superiores en las cepas de transformación
- Inclusión de la superficie de fluencia de Prager-Lode, que permite modelar la deformación anisotrópica para tensión o compresión.
- Introducción de capacidades de plasticidad de gran deformación.
Puede ver estas mejoras en el nuevo modelo tutorial Uniaxial Loading of Shape Memory Alloy Using Souza-Auricchio Model.

Fracción de volumen de martensita en un diagrama de fase tensión-temperatura para el efecto pseudoelástico en un solo ciclo de carga.
Modelo de material viscoplástico para litio
Se ha añadido un nuevo modelo de material, Anand–Narayan, a la función Viscoplasticity. Este modelo de material se centra específicamente en las propiedades del litio en aplicaciones de baterías.

Curvas de tensión versus deformación verdadera (a diferentes temperaturas y velocidades de deformación) para una muestra de litio obtenida con el modelo de Anand-Narayan.
Nueva interfaz multifísica de daño de campo de fase
La nueva interfaz multifísica Phase-Field Damage combina una interfaz de Solid Mechanics con la nueva interfaz Phase-Field in Solids a través de un acoplamiento multifísico bidireccional Phase-Field Damage. La densidad de energía de tensión o deformación impulsa la evolución del campo de fase, y el campo de fase determina el grado de daño al modelo de material elástico.
Nuevos modelos tutoriales
|
Large Swelling in Polymer Hydrogels |
Uniaxial Loading of a Shape Memory Alloy Using the Souza–Auricchio Model |
|
Chloroprene Rubber Compression Test |
Buckling of HDPE Liners |
|
Uniaxial Stretching of a Rectangular Sheet |
Parameter Estimation of Hyperelastic Materials |
|
Parameter Estimation of Elastoplastic Materials |
Parameter Estimation of Viscoplastic Polymers |
|
Small Punch Test for Ultrahigh Molecular Weight Polyethylene |
Tire Inflation |
6.1
NOVEDADES
La versión 6.1 trae una nueva función de Calentamiento Adiabático, capacidades mejoradas para modelar viscoplasticidad e hiperelasticidad, y cinco nuevos modelos tutoriales.
Calentamiento adiabático
Se ha añadido un nuevo marco de trabajo para gestionar el calentamiento adiabático en sólidos, capas y membranas. El calentamiento adiabático es importante cuando la energía se disipa debido a deformaciones rápidas, lo que a su vez aumenta la temperatura del objeto. Puede incorporase este efecto añadiendo un subnodo Adiabatic heating a las interfaces de Mecánica de sólidos, Cáscaras de capas, Cáscara o Membrana.
Mejoras de viscoplasticidad
El nodo Viscoplasticidad tiene un nuevo marco de trabajo para manejar grandes deformaciones viscoplásticas basado en la descomposición multiplicativa de gradientes de deformación. La formulación produce mejoras significativas en la velocidad computacional y el uso de la memoria, y hace posible agregar las funciones Fluencia lenta (Creep) y Viscoplasticidad en el nodo Material hiperelástico. Además, se han actualizado los modelos Chaboche y Perzyna, y se han introducido dos nuevos modelos viscoplásticos: el modelo Bingham y el modelo Peric. Ahora también es posible especificar modelos viscoplásticos Definido por el usuario. Pueden verse estas nuevas mejoras en los modelos "Lemaitre-Chaboche Viscoplastic Model" y "Viscoplastic Creep in Solder Joints".

Configuració para la función de Viscoplasticidad renovada, con el modelo Chaboche seleccionado.
Mejoras de hiperelasticidad
Se ha implementado un nuevo marco de trabajo para manejar la compresibilidad de todos los materiales hiperelásticos. Como resultado de esto, todos los modelos de materiales tienen una nueva formulación comprimible que también permite añadir daño de campo de fase a todos los materiales hiperelásticos en la interfaz de Mecánica de sólidos. Además, ahora también es posible modelar arrugas en materiales hiperelásticos en la interfaz Membrana. Pueden verse estas mejoras en los nuevos modelos "Inflation of a Square Hyperelastic Airbag" y "Wrinkling of a Cylindrical Membrane with Varying Thickness".

Las regiones arrugadas (verde) en una bolsa de aire inflada hecha de un material hiperelástico.
Funcionalidad adicional en capas delgadas
El nuevo nodo Capa fina en la interfaz Mecánica de sólidos puede incluir los modelos de materiales Hiperelástico y Elástico no lineal. También se pueden incluir otros efectos inelásticos añadiendo, por ejemplo, subnodos Daño, Fluencia lenta, o Plasticidad. Puede verse esta funcionalidad adicional en el nuevo modelo "Thin Layer Interfaces".

Desplazamiento y salto de tensión usando una aproximación sólida de la capa delgada.
Nuevos modelos tutoriales
|
Inflation of a Square Hyperelastic Airbag |
Wrinkling of a Cylindrical Membrane with Varying Thickness |
|
Contact Analysis of a Rubber Boot Seal |
Submodeling with Plasticity |
|
Thin Layer Interfaces |
6
NOVEDADES
La versión 6.0 trae una fluencia 10 veces más rápida, mejoras en el rendimiento de muchos materiales no lineales, materiales anisotrópicos hiperelásticos, la plasticidad no local, y mejoras para los modelos viscoplásticos.
Materiales hiperelásticos anisotrópicos
Al añadir uno o más atributos de Fibra bajo un material Hiperelástico, se puede aumentar la rigidez mediante el efecto de los haces de fibras distribuidos. El nuevo atributo incluye tres modelos de materiales para fibras: Holzapfel-Gasser-Ogden, Elástico lineal y Definido por el usuario. Puede verse esta nueva función en el nuevo modelo tutorial Biventricular Cardiac Model y en los modelos existentes Arterial Wall Mechanics y Arterial Wall Viscoelasticity.
Modelo cardíaco biventricular. Las direcciones de la fibra en el miocardio se utilizan en el modelo de material hiperelástico Holzapfel-Gasser-Ogden.
Plasticidad no local
Pueden producirse bandas de cizalladura o localización de deformaciones plásticas al modelar la plasticidad en materiales dúctiles. Estas zonas evolucionan de manera diferente para diferentes tamaños de malla. La nueva funcionalidad de Plasticidad no local se ha añadido a las características de plasticidad y plasticidad porosa y permite obtener una solución independiente de la malla cuando se produce la localización de deformaciones plásticas. Puede verse esta nueva actualización en el modelo tutorial existente Necking of an Elastoplastic Metal Bar.
Mejoras en la viscosidad y la fluencia
Un nuevo marco general para Creep y Anand Viscoplasticity brinda grandes mejoras en la velocidad computacional y el uso de la memoria. Para modelos más grandes, se logra una aceleración en un factor de 10 o más. Las variables de deformación inelástica ahora se resuelven con un método de escalonamiento del tiempo Backward Euler, Forward Euler o Domain ODE.
El tipo de tensión equivalente que se utiliza para determinar la tasa de fluencia es ahora una entrada del usuario. Para modelar la fluencia no isotrópica puede seleccionarse von Mises , Hill Ortotropic, Pressure, o Definido por el usuario. Cuando más de un mecanismo de fluencia está actuando, también puede agregarse uno o más nodos de Fluencia adicional bajo el nodo de Fluencia. Pueden verse estas mejoras en el nuevo modelo Creep Analysis of a Turbine Stator Blade y otros modelos ya existentes.
La funcionalildad Creep se utiliza para demostrar cómo la fluencia secundaria puede causar deformación en la pala del estator de una turbina. La velocidad de fluencia está muy influenciada por la temperatura.
Nuevo material hiperelástico de van der Waals
Se ha añadido un nuevo modelo de material hiperelástico de van der Waals para modelar materiales similares al caucho en sólidos, cáscaras y membranas. Si el módulo Composite Materials está disponible, el modelo de material también se puede utilizar en cáscaras de varias capas. Este material a veces se denomina modelo Kilian.
Nuevo nodo de tasa de deformación inelástica
El nuevo atributo de Tasa de deformación inelástica tiene un efecto similar a la funcionalidad de Deformación externa existente, con la diferencia de que ahora puede especificar una velocidad de deformación inelástica que luego se integra en el tiempo en una contribución de deformación inelástica. La tasa de deformación se puede especificar en términos de un tensor de deformación, un gradiente de deformación, un gradiente de deformación inverso o tres tramos ortogonales.
Nuevo marco de integración reducido
Se ha añadido un nuevo marco para una integración reducida, incluyendo la estabilización de reloj de arena. La integración reducida es particularmente útil cuando el coste computacional por punto de integración es alto, lo cual es cierto para muchos modelos de materiales no lineales como Plasticity o Creep.
La integración reducida se controla desde la nueva sección Configuración de cuadratura. Está disponible en la configuración de modelos de material de nivel superior como Material elástico lineal y Material elástico no lineal. La regla de integración reducida seleccionada será heredada por los subnodos que se puedan agregar. Puede verse este nuevo marco en varios modelos tutoriales existentes.
Nuevos modelos tutoriales
|
Two-Stage Powder Compaction Process |
Pharmaceutical Tableting Process |
|
Creep Analysis of a Turbine Stator Blade |
Biventricular Cardiac Model |
5.6
NOVEDADES
Mejoras en plasticidad
Un nuevo nodo, Establecer variables, está disponible como un atributo bajo los nodos Plasticidad y Plasticidad de material poroso en las interfaces Mecánica de sólidos, Cáscara, Cáscara de capas, Membrana, y celosía. Esta característica posibilita asignar valores o expresiones a variables plásticas basadas en condiciones boleanas, tanto para las opciones Deformación plástica pequeña como para Deformación plástica grande. Puede verse esta funcionalidad en el modelo "Plastic Strain Mapping".
Plasticidad de gran deformación en la interfaz de cáscara en capas
El Material elástico lineal en la interfaz Cáscara de capas ahora incluye la posibilidad de modelar la Plasticidad de gran deformación. Están disponibles el mismo conjunto de funciones de rendimiento y modelos de endurecimiento isotrópico que en la interfaz de Mecánica de sólidos.
Ahora es posible agregar Plasticidad al nodo Material hiperelástico en la interfaz Cáscara en capas. El nuevo subnodo utiliza la fórmula de Plasticidad de gran deformación. El mismo conjunto de funciones de rendimiento y modelos de endurecimiento isotrópico están disponibles en el nodo Material hiperelástico para la interfaz de Mecánica de sólidos. La interfaz Cáscara en capas requiere el módulo Composite Materials.
Mejoras en la plasticidad porosa
La opción Deformaciones plásticas grandes está disponible para todos los modelos de material en el nodo Plasticidad porosa. La formulación utiliza una descomposición multiplicativa de gradientes de deformación, dando una buena aproximación a altas deformaciones por compresión. Puede verse esta funcionalidad en el modelo de "Powder Compaction of a Flanged Component". También está disponible el modelo Capped Drucker-Prager como un atributo bajo los nodos Material elástico lineal y Material elástico no lineal.
La configuración del nodo de Plasticidad porosa en COMSOL Multiphysics ® versión 5.6 con la opción de deformación plástica grande y el modelo de material Capped Drucker-Prager seleccionado.
Mejoras de material elástico no lineal
Se añade un nuevo modelo de material llamado Datos de cizalla al nodo Material elástico no lineal. El nuevo modelo de material es similar al modelo de Datos Uniaxiales, pero está destinado a simulaciones en las que se dispone de datos de esfuerzo de cizalladura respecto a ángulo de cizalladura. En el modelo de material de Datos Uniaxiales, los Datos de Endurecimiento ahora se pueden tomar de la Biblioteca de materiales.
Mejoras de la viscoelasticidad
Se añaden dos modelos viscoelásticos internos al Material elástico no lineal: los modelos de Maxwell y Kelvin generalizado. Para los análisis en el dominio de la frecuencia, se pueden añadir derivadas fraccionarias para todos los modelos viscoelásticos incorporados.
Cuando se utiliza un subnodo de Viscoelasticidad bajo el nodo de Material hiperelástico, se encuentra disponible una nueva implementación más sencilla para los modelos de Maxwell generalizado y Sólido lineal estándar para viscoelasticidad de gran deformación, lo que proporciona aceleraciones significativas. Puede verse esta funcionalidad en el modelo "Impact Analysis of a Golf Ball".
Nuevos modelos de materiales hiperelásticos
Se añaden tres nuevos modelos de material hiperelástico: el modelo de Tubo extendido para modelar materiales similares al caucho, y los modelos de material Delfino y el anisotrópico Fung para simular grandes deformaciones en tejido biológico. Además, todos los modelos de Material hiperelástico disponibles en la interfaz de Mecánica de sólidos ahora están disponibles en el nodo Material de capas hiperelástico en la interfaz Cáscara. Si el módulo de Composite Materials está disponible, los modelos de material también se pueden utilizar en cáascaras de varias capas, y las capas individuales pueden tener diferentes modelos de material.
Una blástula esférica de erizo de mar modelada con el nuevo modelo de material hiperelástico Delfino. El gráfico muestra la relación entre el radio deformado y no deformado al variar la presión interna y los diferentes parámetros del material.
Modelos de materiales no lineales en la interfaz de cáscara de capas
El nodo de Material elástico lineal en la interfaz Cáscara de capas ahora incluye la posibilidad de modelar la Plasticidad de gran deformación. También puede añadirse Plasticidad al nodo Material hiperelástico en la interfaz Cáscara de capas. El subnodo Plasticidad utiliza la formulación de Plasticidad de deformación grande, que proporciona una buena aproximación para niveles de deformación elevados. Tengase en cuenta que tanto el módulo Nonlinear Structual Materials como el módulo Composite Materials son necesarios para esta funcionalidad. Si el módulo de materiales compuestos está disponible, los modelos de material también se pueden utilizar en cáscaras multicapa.
Daños en cáscaras de capas
Todos los modelos de Daño disponibles en la interfaz de Mecánica de sólidos ahora están disponibles para el nodo Material de capas elástico lineal en la interfaz Cáscara, así como para el nodo Material elástico lineal en la interfaz Cáscara de capas. La interfaz Cáscara de capas el módulo de materiales compuestos.
Mejoras de daño
Hay varias mejoras en la función de Daño, incluido un nuevo modelo de daño basado en el campo de fase para la propagación de grietas. La novedades incluyen:
- Nuevo método de regularización viscoso para análisis dependiente del tiempo
- Reblandecimiento de deformación polinómica y reblandecimiento de deformación multilineal disponibles para las leyes de evolución del daño para Daño escalar y Daño de Mazars para hormigón
- Nuevo modelo de Daño de campo de fase, disponible en el nodo Material elástico lineal en la interfaz de Mecánica de sólidos
- Función de Daño disponible en el nodo Material de capas elástico lineal de la interfaz Cáscara
- Función de Daño disponible en el nodo Material elástico lineal de la interfaz Cáscara
- Un nuevo modelo: "Brittle Fracture of a Holed Plate"
Mejoras en la aleación con memoria de forma
Hay varias mejoras en la función Aleación con memoria de forma:
- Las entradas del usuario para los modelos de material de aleación con memoria de forma ahora están disponibles como propiedades de material
- Para el modelo de Lagoudas, puede entrarse los datos del material en términos de temperaturas de transición o tensiones de transición
- El modelo Souza-Auricchio se modifica para tener en cuenta la temperatura de referencia en lugar de la temperatura de acabado de martensita
- Se entra el radio del dominio elástico en lugar del límite elástico inicial
- Los modelos Lagoudas y Souza-Auricchio SMA ahora están disponibles en la interfaz Celosía.
Nuevos gráficos predeterminados
Nuevos gráficos de niveles por defecto, que muestran las deformaciones inelásticas, se han añadido para las funcionalidades de Plasticidad, Plasticidad porosa, Viscoplasticidad , Arrastre, Viscoelasticidad, y aleación con memoria de forma. Muchos de los modelos de la biblioteca de aplicaciones reflejan este cambio.
Nuevo gráfico de niveles predeterminado para deformación plástica equivalente.
Nuevos modelos tutoriales
|
Impact Analysis of a Golf Ball |
Brittle Fracture of a Holed Plate |
|
Plastic Strain Mapping |
Inflation of a Spherical Rubber Balloon - Shell and Membrane Version |
|
Powder Compaction of a Rotational Flanged Component |
|
5.5
NOVEDADES
La versión 5.5 trae plasticidad, arrastre, viscoplasticidad y viscoelasticidad para cáscaras, el Modelo de Johnson-Cook para plasticidad dependiente de la tasa de deformación y mejoras para aleaciones con memoria de forma.
Extensiones de plasticidad, arrastre, viscoplasticidad y viscoelasticidad
Las funcionalidades Plasticity, Creep, Viscoplasticity, y Viscoelasticity, destinadas al modelado de deformaciones inelásticas en metales y aleaciones, ahora están disponibles en la interfaz Shell. Esto es importante para reducir tiempo de cálculo cuando se modelan estructuras con paredes delgadas. Se puede controlar el balance entre precisión y tiempo de cálculo seleccionando el número de puntos de integración en la dirección a través del grosor. Puede verse esta nueva funcionalidad en los modelos Twisting and Bending of a Metal Frame y Pressurized Orthotropic Container - Shell Version.
La tensión de von Mises en un marco con paredes finas modelado con la interfaz Shell después de torcerlo y doblarlo a un nivel de carga causa la flexión.
Modelo de Johnson-Cook para plasticidad dependiente de la tasa de deformación
Los metales que se deforman con una alta tasa de deformación típicamente exhibirán más endurecimiento plástico que a bajas velocidades. El modelo de Johnson-Cook se utiliza para describir la influencia de altas tasas de deformación en el endurecimiento plástico. Adicionalmente se dispone de la opción de incluir el reblandecimiento causado por el incremento de la temperatura. El modelo de endurecimiento de Johnson-Cook está disponible como un modelo de endurecimiento isotrópico en el nodo Plasticity, y para los modelos de Chaboche y Perzyna en el nodo Viscoplasticity. Puede verse esta funcionalidad nueva en el modelo Tensile Test with Strain Rate Dependent Plasticity.
Distribución de deformaciones plásticas (azul) e incremento de temperatura (rojo) después de haber realizado un ensayo de tracción a diferntes velocidades de carga.
Mejoras para aleaciones con memoria de forma
En el modelo de material Lagoudas para aleaciones con memoria de forma, existen varias mejoras. Se ha introducido una deformación de transformación máxima dependiente de la tensión. Esto posibilita modelar el efecto de memoria de forma bidireccional (TWSME) cuando no es posible alcanzar la deformación de transformación máxima debido a bajos niveles de tensión. Se ha añadido un término de endurecimiento de tensión para representar la variación en el tamaño del bucle de histéresis de transformación con el nivel de tensión. Con la adición de este término, pueden observarse diferentes pendientes en los diagramas de fase. En muchos casos, las dirección de la transformación durante el proceso de cambio de fase es conocido y se puede mejorar la convergencia significativamente prescribiendo la dirección de transformación, en lugar de calcularla. En la versión anterior de COMSOL existía una opción similar, pero solo podía ser aplicada a la estructura como un todo, y no a dominios individuales.
Material hiperelástico en la interfaz de cáscara con capas
La adición de materiales hiperelásticos a la interfaz Layered Shell posibilita modelar grandes tensiones en conchas compuestas donde algunas de las capas están hechas de goma u otros tipos de elastómeros. Téngase en cuenta que para acceder a esta funcionalidad, se necesita el módulo Nonlinear Structural Materials Module además de los módulos Structural Mechanics Module y Composite Materials Module.
Un panel compuesto sándwich que tiene capas elásticas lineales externas (material compuesto) y una capa hiperelástica media (material de goma), que se ha resaltado.
Plasticidad en cáscaras con capas
La adición de la funcionalidad Plasticity al nodo Linear Elastic Material en la interfaz Layered Shell permite modelar la deformación plástica en capas seleccionadas de un laminado compuesto, por ejemplo, las capas metálicas externas de una estructura tipo sándwich. Los modelos de plasticidad son los mismos que en la interfaz Solid Mechanics, con la excepción de que se supone que las deformaciones plásticas son pequeñas. Téngase en cuenta que para acceder a esta funcionalidad se necesita el módulo Nonlinear Structural Materials Module además de los módulos Structural Mechanics Module y Composite Materials Module.
Una cáscara con capas en la que se modela la plasticidad en las capas superior e inferior, que se han resaltado.
5.4
NOVEDADES
Efecto Mullins
El efecto Mullins es un fenómeno de deterioro en la goma, donde la curva de tensión-deformación depende de la máxima tensión a la que ha sido sometido el material. Ahora se puede modelar este efecto añadiendo un subnodo Mullins Effect bajo un Hyperelastic Material. Existen dos diferentes modelos disponibles para el efecto Mullins: Ogden-Roxburgh y Miehe.
Modelado de daños
Para materiales frágiles, los daños cauados por las grietas es un mecanismo de fallos importante. El nuevo subnodo Damage bajo Linear Elastic Material posibilita incorporar modelos de daños basados en continuidad, donde el material se ablanda como efecto de la severidad de la carga. Se dispone de varios modelos de daños escalares efectivos basados en medidas de la deformación equivalente (Rankine, Smooth Rankine, Norm of elastic strain tensor, y User defined). También se pueden seleccionar diferentes reglas para la evolución del daño: Linear strain softening, Exponential strain softening, y User defined.
Los modelos de ablandamiento del material son numéricamente problemáticos debido a la fuerte localización del daño. Por esta razón, a menudo es necesario utilizar métodos de regularización que suavizan el daño en una región finita. Dos de estos métodos están disponibles: Crack band y Implicit gradient.
La funcionalidad de daño está disponible en los módulos Nonlinear Structural Materials Module y Geomechanics Module. En el último se dispone también de modelos específicos para hormigón.
Control de dirección de transformación para aleaciones con memoria de forma
Ahora se puede prescribir la dirección de transformación para el modelo Lagoudas en el material Shape Memory Alloy. Utiliza el nuevo ajuste Transformation direction. Este ajuste puede mejorar significativamente la convergencia para los casos más habituales cuando la dirección de la transformación se conoece a priori.
Cambios para materiales hiperelásticos con baja compresibilidad
Muchos materiales hiperelásticos, como la goma, tienen muy baja compresibilidad. Para resolver estos problemas deben de utilizarse métodos numéricos especiales como formulaciones mixtas. El tratamiento de la incompresibilidad o cerca de la incompresibilidad se ha cambiado para la mayoría de los materiales hiperelásticos. Se ha añadido una lista de Compressibility. De ella se puede escoger entre uno de los siguientes tipos de materiales:
- Compressible material. Esta opción solo está disponible para aquellos modelos de materiales que están pensados para incorporar una flexibilidad significativa.
- Nearly incompressible material, quadratic volumetric strain energy. Este es el tipo de formulación mixta que estaba disponible en la versión anterior, cuando la ahora obsoleta casilla Nearly incompressible material estaba seleccionada.
- Nearly incompressible material, Hartmann-Neff volumetric strain energy. Este nuevo método es similar a la formulación previa pero es más precisa al mantener incompresibilidad.
- Incompressible material. En esta nueva formulación, se utiliza una restricción para forzar la incompresibilidad.
Descomposición multiplicativa en material elástico no lineal
Aunque Nonlinear Elastic Material está principalmente pensado para pequeñas deformaciones, también puede utilizarse bajo no linealidad geométrica. La eliminación de deformaciones inelásticas de las deformaciones totales ahora se realiza utilizando descomposición multiplicativa, igual que para otros materiales. Utilizando la casilla Additive strain decomposition, se puede recuperar la formulación utilizada previamente.
Modelo viscoelástico de Burgers
Se ha añadido un modelo viscoelástico integrado más: el modelo de Burgers. Como los otros modelos viscoelásticos, se accede añadiendo un subnodo Viscoelasticiy bajo el nodo Nonlinear Elastic Material.
5.3a
NOVEDADES
Esta versión trae aleaciones con memoria de forma, modeladas con los modelos Lagoudas o Souza-Auricchio, y mejoras a la funcionalidad de plasticidad porosa.
Aleaciones con memoria de forma
Las aleaciones con memoria de forma se están haciendo cada vez más populares, particularmente para aplicaciones médicas. La descripción mecánica de las aleaciones con memoria de forma es compleja, ya que el fascinante comportamiento de estos materiales es causado por transformaciones de fase, que pueden dispararse por tensiones mecánicas y cambios en la temperatura. Se han añadido los dos modelos matemáticos más comunes para describir las aleaciones con memoria de forma: Lagoudas y Souza-Auricchio. Cuando se utiliza cualquiera de los modelos, se tiene la capacidad de definir las propiedades del material Austenita y Martensita, así como propiedades de transformación de fase, como las temperaturas de inicio y final. Asociado con esto existe una nueva interfaz para transferencia de calor en aleaciones con memoria de forma, disponible en el Heat Transfer Module.
Transferencia de calor en aleaciones con memoria de forma
El comportamiento de las aleaciones con memoria de forma (SMA) está estrechamente relacionado con la temperatura, y cualquier cambio estructural (Austenita ↔ Martensita) liberará o absorberá energía, cambiando las propiedades térmicas de las aleaciones. La funcionalidad Shape memory alloy en las interfaces de transferencia de calor tienen en cuenta las fracciones de volumen de Martensita y Austenita. Las propiedades térmicas efectivas entonces se definen a partir de las propiedades térmicas de cada fase. Esta funcionalidad Shape memory alloy está diseñada para ser combinada con la nueva funcionalidad Shape memory alloy incluida en el módulo Nonlinear Structual Materials Module. Para incluirlo en el modelo se debe seleccionar la casilla Heat transfer in alloys en el nodo principal de la iterfaz Transferencia de calor, y la funcionalidad Shape memory alloy estará disponible como una condición de contorno de Dominio.
Mejoras en la plasticidad porosa
Se han aumentado los modelos de materiales de plasticidad porosa con endurecimiento plástico y opciones tener en cuenta la nucleación vacía
Gráficos por defecto mejorados
Los gráficos por defecto en las interfaces físicas de mecánica estructural han sido actualizados para producir visualizaciones más informativas. Los tutoriales de la Biblioteca de aplicaciones se han actualizado consecuentemente. Alguno de los cambios más prominentes que se encontrarán son los siguientes:
- La tabla de colores para los gráficos de deformación von Mises es RainbowLight
- La tabla de colores para gráficos de forma de modos, para estudios de frecuencias propias y deformación lineal, es AuroraBorealis
- Los gráficos de forma de modos tiene la leyenda apagada para enfatizar que la amplitud de un modo no tiene un significado físico
- La tabla de colores para los gráficos de fuerza de sección en las interfaces Viga y Armazón es Wave, con un rango de colores simétrico
- Esto posibilita distinguir inmediatamente entre tensión y compresión, por ejemplo
- En análisis de contacto, se ha añadido un gráfico de presión de contacto, como un gráfico lineal (2D) o un gráfico de niveles (3D)
- El gráfico por defecto para Linealización de tensión ahora tiene una leyenda para los gráficos
- El gráfico de geometría no deformada por defecto, producido por la interfaz Lámina, tiene nuevos colores
- Cuando se utiliza un modelo de material como plasticidad o arrastre, un gráfico de niveles del valor de la deformación relevante, como la deformación plástica efectiva, se superpone al gráfico de tensión
- Aplicable para el módulo Nonlinear Structural Materials Module y el Geomechanics Module
- En la interfaz Fatig, la tabla de colores Traffic se utiliza para ciclos de fallo predecidos y factores de uso
- Aplicable para el módulo de fatiga
En este ejemplo, se pueden ver colores más brillantes en el gráfico de tensiones (tabla de colores RainbowLight), y, por defecto, se han añadido niveles de deformación plástica y de presión de contacto. Por comparación, Para su comparación se muestra un gráfico por defecto de la versión COMSOL Multiphysics® 5.3 del mismo modelo.
Nuevo modelo tutorial: Uniaxial Loading of Shape Memory Alloy
En este modelo tutorial, se utilizan tres escenarios de carga diferentes para ilustrar diferentes comportamientos de una aleación con memoria de forma:
- Un ciclo de carga-descarga a diferentes temperaturas, mostrando la propiedad de superelasticidad a temperaturas más altas
- Un esquema con carga-descarga parcial a temperatura constante, mostrando el fuerte efecto de histéresis
- Un ciclo de carga que produce una deformación residual, seguida de un incremento de temperatura, que restablece la deformación a cero, mostrando así el efecto de memoria de forma
Tensión vs. deformación para un ciclo de carga-descarga a diferentes temperaturas.
5.3
NOVEDADES
En la versión 5.3 de COMSOL Multiphysics® el módulo Nonlinear Structural Materials trae nuevos modelos de material viscoplástico Perzyna y Chaboche y un nuevo modelo tutorial que demuestra la ley constitutiva de viscoplasticidad Lemaitre-Chaboche.
Nuevo marco de trabajo para deformaciones inelásticas en análisis geométricamente no lineales
A new framework and more rigorous handling of decomposition into elastic and inelastic deformations has been implemented for cases of geometric nonlinearity. Previous versions of the COMSOL® software used an additive decomposition approach, with a few exceptions such as for large-strain plasticity analyses, which use a multiplicative decomposition approach.
Ahora se dispone de descomposición multiplicativa para:
- Expansión térmica
- Abultamiento higroscópico
- Esfuerzo y deformaciones iniciales
- Deformaciones externas
- Viscoplasticidad
- Fluencia
La descomposición multiplicativa de gradientes de deformación ahora son la opción por defecto para todas las contribuciones inelásticas en estudios donde las no linealidades geométricas están activas. La ventaja principal es que es posible manejar varias contribuciones de deformación inelástica grandes en un material. Además, la linealización será más consistente como, por ejemplo, ahora es posible predecir con precisión la desviación en las frecuencias propias causada por expansión térmica pura. Si se desea cambiar al comportamiento de la versión anterior de COMSOL Multiphysics® puede seleccionarse la casilla de verificación Descomposición de deformación aditiva en la ventana de Ajustes para los modelos de materiales respectivos.
Como parte de esta mejora, el atributo Deformación externa bajo los nodos Material elástico lineal y Material elástico no lineal, ha sido añadio con varias nuevas opciones. Estas opciones permiten proporcionar deformaciones inelásticas de varias formas y también se pueden transferir deformaciones inelásticas de otras interfaces físicas a este atributo. Adicionalmente, se ha añadido un atributo Deformación externa al Material hiperelástico con propiedades similares.
Nuevos modelos de material viscoplástico
Se han incluido dos nuevos modelos de material viscoplástico: Perzyna y Chaboche. Estos modelos son adecuados para casos donde la tensión producida tiene una dependencia significativa con la tasa de deformación. El modelo de material viscoplástico disponible previamente también se ha aumentado de forma que las propiedades de ese material pueden obtener desde el nodo Material.
Se muestran las deformaciones viscoplásticas en un ejemplo de test, calculadas con el nuevo material viscoplástico.
Modelos de plasticidad porosa
Los modelos de plasticidad porosa son importantes cuando se simula, por ejemplo, compactación de polvo. En oposición con los modelos plásticos clásicos, donde la deformación plástica se asume que no cambia el volumen, la porosidad es un parámetro importante en modelos de plasticidad porosa. Ahora se dispone de cinco modelos de este tipo:
- Shima-Oyane
- Gurson
- Gurson-Tvergaard-Needleman
- Fleck-Kuhn-McMeeking
- FKM-GTN
Regla de flujo asociado para la función de fluencia Tresca
Se ha añadido una regla de flujo asociado a la función de fluencia Tresca en análisis de plasticidad. Como antes, la regla de flujo por defecto utiliza la superficie de fluencia de von Mises como potencial plástico, pero esto puede cambiarse en la ventana de Ajustes.
Expansión térmica anisotrópica e hinchazón higroscópica para materiales hiperelásticos
La funcionalidad de Expansión térmica en la funcionalidad de Materiales hiperelásticos ha sido aumentada con la opción para proporcionar coeficientes ortotrópicos y anisotrópicos de expansión térmica. De forma similar, ahora se pueden utilizar coeficientes ortotrópicos y anisotrópicos de hinchazón higroscópica en el nodo Hinchazón higroscópica.
Nuevo modelo tutorial: Modelo viscoplástico Lemaitre-Chaboche
La mayoría de los metales y aleaciones sufren deformaciones viscoplásticas a altas temperaturas. En caso de una carga cíclica, es necesaria una ley constitutiva con endurecimiento tanto isotrópico como cinemático para describir los efectos como el aumento progresivo de la carga, reblandecimiento/endurecimiento cíclicos y relajación de tensión. El modelo viscoplástico Lemaitre-Chaboche cobina endurecimiento isotrópico con endurecimiento cinemático no lineal para modelar estos efectos. Este modelo viscoplástico se utiliza comunmente en áeas como la fabricación aditiva, soldadura láser, corte láser y procesado térmico de metales y aleaciones a altas temperaturas. El modelo tutorial muestra la ley constitutiva viscoplástica Lemaitre-Chaboche en un espécimen de test.
Deformaciones viscoplásticas, calculadas utilizando el modelo viscoplástico Lemaitre-Chaboche en un espécimen de test después de cuatro ciclos con una tasa de deformación de 0.001 s-1.
5.2a
NOVEDADES
Los usuarios de Nonlinear Structural Materials Module, COMSOL Multiphysics® 5.2a trae un modelo de Material hiperelástico extendido con la capacidad para modelar viscoelasticidad de gran deformación, así como modelos de nuevos materiales para endurecimiento cinemático e isotrópico y la capacidad de mezclar estos modelos para modelar materiales elastoplásticos. Más detalles a continuación.
Viscoelasticidad de gran deformación
Mezcla de endurecimiento isotrópico y cinemático
Para materiales elastoplásticos, las funcionalidades de endurecimiento se han ampliado para permitir mezclas arbitrarias de endurecimiento isotrópico y cinemático en el modelo de Plasticidad. En versiones anteriores, el endurecimiento plástico podría describirse únicamente por el endurecimiento isotrópico o cinemático. Permitiendo la mezcla de ambos modelos se pueden realizar simulaciones más realistas de situaciones de carga-descarga.
|
|
Nuevos modelos de endurecimiento isotrópico y cinemático en Plasticidad
Se han introducido cuatro nuevos modelos de endurecimiento isotrópico en el nodo de Plasticidad:
- Ludwik
- Swift
- Voce
- Hockett-Sherby
Dos nuevos modelos de endurecimiento cinemático en el nodo de Plasticidad:
- Armstrong-Frederick
- Chaboche
5.2
Nueva app: Análisis de tensión de un depósito presurizado
Se diseña un depósito presurizado para almacenar líquidos o gases a presiones substancialmente más altas o bajas que la presión ambiental. Una alta diferencia de presión requiere un diseño correcto para evitar fallos catastróficos.
La app Stress Analysis of a Pressure Vessel es un ejemplo de como se puede diseñar una herramienta para verificar una familia de componentes con una geometría parametrizable. El objetivo de la app es determinar si el depósito será capaz de aguantar la presión interna aplicada sin exceder un límite especificado sobre la fracción volumétrica del material, que ha excedido el límite de deformación plástica. La app resuelve la plasticidad ortotrópica utilizando el Criterio Ortotrópico de Hill.
Se pueden ajustar los parámetros de la geometría del depósito, la presión interna, propiedades del material y la fracción volumétrica del depósito que se permite que exceda el límite de deformación. Los resultados de la app incluyen la presión a la que ocurre la deformación inicial, la fracción volumétrica deformada por debajo del limite permitido y la presión a la que la fracción volumétrica deformada alcanza el límite especificado.
La interfaz de usuario de la app Stress Analysis of a Pressure Vessel muestra los resultados de tensión.
Formulación mejorada para plasticidad de pequeña deformación con no linealidad geométrica
Ahora se puede utilizar una formulación de deformación plástica pequeña para tensiones significativamente más grandes sin pérdidas de precisión significativas. Cuando se seleccionan deformaciones plásticas pequeñas como modelo de plasticidad en el nodo Plasticity, y el estudio incorpora una no linealidad geométrica, el tensor de tensión de Cauchy es utilizado para evaluar la función de deformación y el potencial plástico. En versiones anteriores del software se utilizaba en su lugar el tensor de tensión segundo Piola-Kirchhoff, lo que limitaba el rango de deformación útil a un pequeño porcentaje. La opción de grandes deformaciones plásticas, disponible desde una versión anterior de COMSOL Multiphysics, es más precisa pero computacionalmente más cara. Con la nueva formulación para pequeñas deformaciones plásticas, el límite para el cuando es necesaria la formulación completa de grandes deformaciones aumenta en una deformación de un pequeño porcentaje del 20% o más, dependiendo de la precisión requerida.
Tensiones durante la compresión elastoplástica de una tubería, con asunción de una deformación plástica pequeña (izquierda) y grande (derecha).
5.1
NOVEDADES
Modelo de material elástico no lineal en la interfaz de membrana
La familia de modelos Nonlinear Elastic Material, que está disponible en la interfaz de mecánica de sólidos, se han añadido a la interfaz de membrana. Ahora es posible definir tu propio modelo de material utilizando la opción user defined. Estos modelos de material sirven principalmente para deformaciones pequeñas a moderadas.
Viscoelasticidad, plasticidad, arrastre y viscoplasticidad añadidas a la interfaz de membrana
|
|
Plasticidad en la interfaz de armaduras
La posibilidad de modelar materiales elastoplásticos también se ha añadido a la interfaz de armaduras. La funcionalidad es esencialmente la misma que en las interfaces de mecánica de sólidos y membrana.
5.0
Materiales elásticos no lineales
Ahora se dispone de una serie de materiales elásticos no lineales para pequeñas deformaciones:
- Ramberg-Osgood
- Ley de Potencia
- Datos uniaxiales
- Elástico bilineal
- Definido por el usuario
Membranas hiperelásticas
Las membranas ahora pueden utilizar modelos de materiales hiperelásticos
Nuevo modelo: Hinchado de un globo de goma esférico - versión Membrana
Esta versión del modelo de hinchado de un globo demuestra cómo puede utilizarse la interfaz de Membrana para modelar estructuras hiperelásticas finas.




COMSOL Multiphysics 6.4