COMSOL Fuel Cell & Electrolyzer Module 6.4
DESCRIPCIÓN
El módulo permite modelar células de combustible y electrolizadores para analizar su rendimiento y mejorar su diseño. Se trata de un complemento de COMSOL Multiphysics para profundizar en la comprensión de las células de combustible y electrolizadores, de gran utilidad para diseñar y optimizar celdas electroquímicas. Los tipos de sistemas que pueden estudiarse incluyen células de combustible de membrana de intercambio de protones (PEMFC), células de combustible de intercambio de hidróxido (alcalina)(AFC), células de combustible de carbonato fundido (MCFC) y células de combustible de óxido sólido (SOFC), así como los correspondientes sistemas electrolizadores de agua. Sin embargo, el módulo se acomoda a todos los tipos de células de combustible y electrolizadores.
Como todos los productos de la suite de productos de COMSOL, las funcionalidades multifísicas se integran en el software para incluir flujo de fluidos multifase, transferencia de calor, propiedades termodinámicas y más.
SECTORES
Células de combustible de hidrógeno
Fuel Cell & Electrolyzer Module dispone de formulaciones predefinidas para los tipos más habituales de células de combustible de hidrógeno, teniendo en cuenta electrodos, electrolito, así como colectores de corriente y alimentadores. Entre los ejemplos de células de combustible que se pueden modelar estan PEMFC, AFC, PAFC, SOFC, MCFC, y PEMFC de alta temperatura, por mencionar unas cuantas.
El modelado y la simulación pueden utilizarse para predecir la distribución de corriente y potencial, la distribución de especies químicas y la distribución de temperatura en una celda de combustible. De esta manera, la celda puede ser diseñada para su mejor uso y operación posible para un conjunto de condiciones dadas. Algunos aspectos importantes son la eliminación del agua y evitar la utilización no uniforme de la celda, que puede dar como resultado rendimientos pobres y la disminución de su vida útil. Además, pueden estudiarse los aspectos microscópicos de los electrodos de difusión del gas y las capas activas, como la carga del catalizador, la distribución del tamaño de partículas, y la distribución de poros bimodales.
Los análisis cubren 0D, 1D, 2D y 3D durante la operación en régimen transitorio o permanente. Los modelos basados en la física también pueden formularse en el dominio de la frecuencia para simular experimentos de espectroscopía de impedancia.
Electrolizadores de agua
Los costes más bajos de la energía eólica y solar han llevado a grandes producciones de electricidad para fuentes de electolizador. Esto también significa que existe una extra mayor de electricidad cuando el viento sopla y el sol brilla. Almacenar esta electricidad en baterías es caro. Sin embargo, los electrolizadores pueden ser utilizados para producir hidrógeno a partir de la electricidad a través de la electrólisis de agua.
El diseño de un electrolizador de agua es similar al de una célula de combustible de hidrógeno, con la diferencia que en comparación con una célula de combustible, la corriente corre en la dirección inversa, el cátodo es el electrodo negativo, y el ánodo es el electrodo positivo. Los modelos de Fuel Cell & Electrolyzer Module involucran la descripción de los electrodos de difusión de gas, la capa activa, el separador de electrolito, y las placas bipolares con los canales. Los modelos pueden definirse en la célula unidad así como a nivel de pila.
Como en las células de combustible, los modelos están basados en la física y cubren 0D, 1D, 2D y 3D para operaciones en régimen transitorio y permanente.
Electrolizadores industriales
La funcionalidad del módulo no está limitado a electrolizadores de agua. Cualquier célula electroquímica o electrolizador puede ser modelado. Esto incluye la capacidad de describir la evolución del gas y flujo multifase laminar. Para sistemas como la electrólisis de clorato y el CFD Module para tratar también el flujo turbulento.
CARACTERÍSTICAS
Este módulo contiene descripciones detalladas de las ecuaciones de transporte, reacciones químicas y reacciones electroquímicas que ocurren en las celdas de combustible y electrolizadores. El software formula las ecuaciones del modelo para electrodos de difusión de gas, electrolito de poros, electrolito (separador) y placas bipolares, que son los componentes principales de estos sistemas. Esto implica modelar las celdas en 0D, 1D, 2D o 3D completo durante la operación estacionaria, o para experimentos y operación transitorios completos.
Distribución de corriente primaria, secundaria y terciaria
Las simulaciones dependientes del espacio (1D, 2D y 3D) pueden dar cuenta de las pérdidas óhmicas (primarias); pérdidas óhmicas y de activación (secundarias); así como pérdidas óhmicas, de activación y de transporte de masa (terciario). Para distribuciones de corriente terciarias, es posible definir sistemas con electrolitos de soporte, electrolitos diluidos y electrolitos concentrados. Las ecuaciones de transporte, las ecuaciones de Nernst-Planck, se pueden combinar con la condición de electroneutralidad o la ecuación de Poisson.
La cinética del electrodo se puede definir usando la ecuación de Tafel, la ecuación de Butler-Volmer o con funciones arbitrarias de sobrepotencial y la concentración de especies químicas. Se pueden definir múltiples reacciones en la superficie de un electrodo (un número arbitrario).
Las interfaces de distribución de corriente se pueden utilizar en combinación con electrodos porosos, electrodos de difusión de gas y electrodos planos.
Electrodos de difusión de gas
Modelar electrodos de difusión de gas (GDE) en este módulo es muy sencillo. Las ecuaciones de transporte en la fase gaseosa y en el electrolito poroso se definen automáticamente en la interfaz de usuario en función de las condiciones de contorno añadidas. El software contiene funcionalidades de dominios separados para definir los electrodos de hidrógeno y oxígeno. Las reacciones de los electrodos principales están predefinidas, pero puede cambiarse la cinética y añadir reacciones bi- y parasitarias.
El transporte de especies en fase gaseosa se acopla automáticamente al transporte en los canales de gas. El flujo de fluido se define para el canal de gas y para la estructura porosa utilizando las ecuaciones de Brinkmann para modelar el flujo de medios libres y porosos totalmente acoplados.
También se definen el equilibrio de carga en el electrolito (separador) y el electrolito de poro (el electrolito en la capa activa o en el GDE). Se acoplan automáticamente a las ecuaciones de transporte en fase gaseosa mediante las reacciones electroquímicas y la ley de Faraday.
Flujo multifásico y monofásico en medios libres y porosos
Uno de los fenómenos específicos de las celdas de combustible de baja temperatura y los electrolizadores de agua es el transporte concurrente de agua líquida y gaseosa (vapor). En las celdas de combustible, el flujo también debe expulsar el agua de la celda para evitar la inundación de los electrodos. De manera similar, en la electrólisis del agua, el transporte inadecuado del gas producido puede hacer que partes de la celda se inactiven. En ambos casos, es importante modelar el flujo de dos fases en los electrodos porosos y en los canales abiertos.
Este módulo presenta los modelos de mezcla, flujo burbujeante y Euler-Euler para flujos multifásicos dispersos, así como transporte de fase en medios porosos. Permiten el modelado de flujo multifásico en medios porosos (electrodos) así como en medios libres abiertos (canales).
Termodinámica incorporada
El contenido de las mezclas de gases en los electrodos de hidrógeno y oxígeno puede variar para diferentes procesos y diferentes condiciones de operación. El módulo de pila de combustible y electrolizador contiene una base de datos de propiedades termodinámicas incorporada para mezclas de hidrógeno y mezclas de oxígeno. La mezcla de hidrógeno puede contener nitrógeno, agua, dióxido de carbono y monóxido de carbono como especies adicionales para modelar los subproductos de las reacciones de reformado además del hidrógeno. Las mismas especies adicionales están disponibles para la mezcla de oxígeno. Cuando se selecciona la composición y se definen las presiones parciales de referencia, el software puede calcular el potencial del electrodo de equilibrio para las reacciones de los electrodos de hidrógeno y oxígeno, por lo que también el potencial de equilibrio para la celda.
Transferencia de calor
La definición del balance de energía está incorporada cuando se usa el módulo. Las fuentes de calor y los sumideros que se originan a partir de reacciones electroquímicas, el transporte de iones y especies químicas, así como la conducción de corriente se pueden añadir automáticamente en un análisis de transferencia de calor. Además, la base de datos termodinámica facilita la obtención de datos de entrada para las simulaciones de gestión térmica de células de hidrógeno-oxígeno.
VERSIONES
6.4
NOVEDADES
6.4 introduce nuevas variables de pérdida de potencia, la capacidad de definir la entrada de gas proporcionalmente al consumo de especies en la reacción del electrodo y un modelado de especies más flexible.
Alimentación estequiométrica de entrada
Para modelar la situación común en una celda de combustible o electrolizador en funcionamiento, donde el caudal de entrada de la mezcla de gases se ajusta proporcionalmente a la corriente de la celda para garantizar el consumo del exceso de especies en la celda, se ha añadido una casilla de verificación Stoichiometric feed a los nodos de entrada de H2 y de O2 de las interfaces Hydrogen Fuel Cell y Water Electrolyzer.

Especificación de una alimentación estequiométrica en el lado del oxígeno en un modelo de celda de combustible.
Mezclase O2-en-H2 y H2-en-O2
Para habilitar modelos más avanzados relacionados con el envejecimiento, las reacciones parásitas y los escenarios de arranque y parada, las interfaces Hydrogen Fuel Cell y Water Electrolyzer ahora permiten habilitar el H2 como especie gaseosa activa en la configuración de O2 Gas Mixture y el O2 como especie gaseosa activa en la configuración de H2 Gas Mixture. Esta actualización puede consultarse en el tutorial Carbon Corrosion in a Polymer Electrolyte Membrane Fuel Cell.

O2 habilitado como especie de gas transportado en el lado del hidrógeno de una celda de combustible.
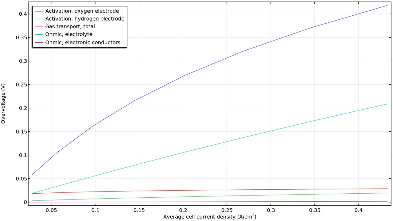
Variables de evaluación de pérdida de potencia
Ahora es posible evaluar la magnitud de las pérdidas totales de potencia en una celda de batería y comparar las pérdidas entre componentes individuales, como el separador, el electrodo y el conductor de corriente, utilizando las nuevas variables de pérdida de potencia introducidas en las interfaces Electrochemistry.
Las pérdidas de potencia se definen en función de las pérdidas de energía libre de Gibbs de todas las especies reaccionantes y transportadas, lo que permite diferenciar entre pérdidas óhmicas, de concentración y de activación. En las interfaces de batería que admiten la intercalación de partículas, también se definen variables independientes de pérdida de transporte por intercalación. Estas variables están disponibles localmente en dominios y límites, como valores integrados para toda la celda o por nodo de característica individual del árbol del modelo.
Esta funcionalidad se puede ver en los modelos tutoriales Mass Transport and Electrochemical Reaction in a Fuel Cell Cathode y Current Density Distribution in a Solid Oxide Fuel Cell.

Sobrepotenciales promediados por celda en el modelo tutorial "Transporte de Masa y Reacción Electroquímica en un Cátodo de Celda de Combustible". Los sobrepotenciales se calculan dividiendo las nuevas variables de pérdida de potencia entre la densidad de corriente de la celda.
Ciclo de carga
Para simplificar la configuración de esquemas de ciclos complejos, se ha añadido la nueva función Load Cycle a la mayoría de las interfaces Electrochemistry. Esta función permite definir ciclos de carga y descarga arbitrarios, donde los pasos de Voltage, Power, Current, C-rate, y Rest se pueden añadir en cualquier secuencia. Para cada paso del ciclo de carga, se pueden definir uno o varios criterios dinámicos de continuación o interrupción (conmutación), que pueden basarse en límites de tiempo, voltaje o corriente, así como en condiciones definidas por el usuario mediante expresiones de variables arbitrarias. Además de las versátiles opciones de definición de ciclos de carga, la nueva función también permite la definición automática de sondas de corriente y voltaje, así como de condiciones de parada del solucionador.
Con la subfunción Subloop, es posible, por ejemplo, combinar pruebas de ciclos de carga y descarga a largo plazo con pruebas de rendimiento de referencia. Tenga en cuenta que las subfunciones Power y Subloop solo están disponibles en el Módulo Battery Design Module y el Fuel Cell & Electrolyzer Module.

Modelado de baterías con la nueva función Ciclo de Carga. En este modelo, la secuencia del ciclo de carga se define mediante un paso de corriente (descarga), un paso de reposo, un paso de corriente (carga) y un paso de reposo final.
Transporte de electrolitos acuosos
Para modelar electrolitos acuosos con ácidos débiles, bases débiles, anfolitos y especies complejas genéricas, así como para aplicaciones como el modelado de corrosión mecanicista, modelos electroquímicos de sistemas biológicos y el modelado de sensores electroquímicos, una nueva interfaz Aqueous Electrolyte Transport calcula los campos de potencial y concentración de especies en un electrolito acuoso diluido. El transporte se define mediante las ecuaciones de Nernst-Planck, que incorporan difusión, migración y convección, junto con la electroneutralidad y la reacción de equilibrio de autoionización del agua (autoprotólisis). Debido a su gestión más eficiente de las reacciones de las ecuaciones y a su sencilla configuración del modelo, la nueva interfaz puede ser preferible en algunos casos a la interfaz más genérica Tertiary Current Distribution, Nernst–Planck.

Definición de la estequiometría y la cinética de una reacción de electrodo en la interfaz de transporte de electrolito acuoso.
Inicialización automática de modelos de membranas de intercambio iónico
Para garantizar la electroneutralidad y el cumplimiento de los equilibrios de Donnan, la función Ion-Exchange Membrane de la interfaz Tertiary Current Distribution, Nernst–Planck ahora incluye la opción Add Donnan shift to initial values. Esta opción desplaza automáticamente los valores iniciales de concentración y potencial especificados en la función Initial Values para el nodo activo del dominio Ion-Exchange Membrane, asumiendo que los valores definidos por el usuario representan los valores de un electrolito líquido en equilibrio con la membrana. Los valores iniciales desplazados se utilizan como valores iniciales para el solucionador. Activar esta opción suele simplificar la configuración del modelo, ya que elimina la necesidad de barrer la carga espacial fija de la membrana a un valor deseado distinto de cero mediante un paso de estudio adicional.
Condición periódica
Se ha añadido una nueva función Periodic Condition a las interfaces de Darcy's Law y Richards' Equation para aplicar fácilmente la periodicidad del flujo entre dos o más límites. Además, es posible crear una diferencia de presión entre los límites de origen y destino, ya sea especificando directamente el salto de presión o prescribiendo un caudal másico. La condición periódica se utiliza habitualmente para modelar elementos de volumen representativos y calcular propiedades efectivas para su uso en medios porosos homogeneizados.

Utilizando la nueva función Condición Periódica para estimar la permeabilidad de un medio poroso que consiste en una matriz periódica de esferas.
Opción de salto de presión para el acoplamiento de flujo de medios libres y porosos
El acoplamiento Free and Porous Media Flow Coupling ofrece una nueva opción que incluye un salto de presión en el límite libre-poroso. Esto permite modelar, por ejemplo, la presión osmótica en una membrana semipermeable soportada por un material espaciador poroso o un salto de presión debido a la presión capilar en el caso de un flujo multifásico.

Utilizando la nueva casilla de verificación Incluir salto de presión a través del límite libre-poroso para el Acoplamiento de flujo de medios libres y porosos para modelar la presión osmótica en una membrana semipermeable delgada en una unidad de desalinización.
Nuevos modelos tutoriales
|
Ohmic and Activation Losses in a Polymer Electrolyte Membrane Water Electrolyzer Cell |
Carbon Corrosion in a Polymer Electrolyte Membrane Fuel Cell |
|
Liquid Alkaline Electrolyzer with Concentrated Electrolyte Transport |
6.3
NOVEDADES
La versión presenta una nueva interfaz para modelar el transporte en cualquier solución de electrolitos, características y variables mejoradas para el flujo bifásico y nuevas capacidades para la estimación de parámetros.
Interfaz de transporte de electrolitos concentrados
Ahora está disponible una interfaz Concentrated Electrolyte Transport para modelar el transporte en cualquier solución de electrolitos con un número arbitrario de especies cargadas y no cargadas. Esta interfaz electroquímica se basa en la teoría de soluciones concentradas, donde las ecuaciones de transporte se definen utilizando coeficientes de difusión binarios de Maxwell-Stefan asumiendo electroneutralidad local. A diferencia de las ecuaciones de Nernst-Planck, la teoría de soluciones concentradas no supone que las especies de electrolitos se diluyan en un disolvente neutro de concentración constante. Los electrolitos típicos que se pueden modelar incluyen líquidos iónicos, sales fundidas y soluciones altamente concentradas que presentan gradientes de concentración no despreciables de las especies portadoras de carga. El nuevo modelo tutorial Molten Carbonate Transport muestra esta funcionalidad.

Los ajustes para un electrolito de carbonato fundido y la fracción de iones K + (gráfico) en relación con el número total de cationes en el electrolito en una masa fundida de sal de carbonato fundido.
Estimación de parámetros
El paso de estudio Parameter Estimation y los resolvedores de optimización BOBYQA, Levenberg–Marquardt y IPOPT ahora están disponibles en el módulo Fuel Cell & Electrolyzer Module. La estimación de parámetros se utiliza para determinar los parámetros del modelo ajustando las simulaciones a los datos experimentales. El modelo tutorial Parameter Estimation of a Polymer Membrane Fuel Cell Model muestra esta nueva incorporación.

Configuración de Parameter Estimation y curvas de polarización (líneas sólidas) obtenidas con la estimación de parámetros utilizando datos experimentales (marcadores) para una celda de combustible de membrana de electrolito de polímero.
Características y variables mejoradas para flujo bifásico
Las interfaces Hydrogen Fuel Cell y Water Electrolyzer ahora incluyen la capacidad de definir fuentes de masa en las fases líquida y gaseosa, tanto en los límites como en los dominios, mediante el acoplamiento a las funciones que se han añadido a la interfaz Phase Trasnport en la versión 6.3. Los términos de fuente de masa se pueden añadir en los límites mediante la nueva función Boundary Mass Source y en los dominios mediante la nueva función de Mass Source.

La configuración de la función Mass Source y la fracción de volumen de agua líquida en los canales de flujo de una celda de combustible de membrana de electrolito de polímero.
En las interfaces Hydrogen Fuel Cell y Water Electrolyzer, ahora están disponibles las opciones de fase Solid y Liquid para el tipo de electrolito Electrolyte type. Esta función especifica si el ion portador de carga contribuye al flujo de masa de líquido y las variables de origen definidas por la interfaz. Además, en el Asistente de modelos, se añadieron entradas Alkaline que utilizan la opción Liquid de manera predeterminada.
Migración inducida por cizalladura en flujo multifásico disperso
En suspensiones concentradas, las colisiones irreversibles de partículas provocan la migración de partículas hacia regiones con tasas de cizalladura más bajas, un fenómeno que se utiliza en procesos como el fraccionamiento de partículas y la microfiltración. Por ejemplo, en el flujo de canal impulsado por presión de una mezcla con flotabilidad neutra, las partículas tienden a agregarse en el centro del canal. Una nueva opción Include shear-induced migration, ahora disponible en el acoplamiento multifísico Mixture Model, admite múltiples especies y mejora la precisión de dichas simulaciones.

Fracción de volumen y líneas de corriente con flechas en un canal espiral con sección transversal cuadrática.
Opción de ley de potencia para permeabilidades relativas
La función Porous Medium en Phase Transport in Porous Media ahora incluye una nueva opción Power Law, lo que facilita la implementación de permeabilidades relativas basadas en expresiones de ley de potencia. Esta mejora simplifica la configuración y el modelado del comportamiento de la permeabilidad en simulaciones de medios porosos.

Permeabilidades relativas basadas en expresiones de ley de potencia que se utilizan en el modelo de referencia Buckley-Leverett de flujo de medio poroso bifásico
Plantillas de resultados en las interfaces de transporte de especies químicas
La creación de gráficos útiles y visualmente atractivos de sistemas reactivos puede llevar mucho tiempo, ya que a menudo hay muchos reactivos y, por lo tanto, muchos campos de concentración para representar gráficamente. Para ahorrar tiempo, hay una serie de nuevas plantillas de resultados Result Templates en las interfaces Chemical Species Transport. Entre ellas, ahora hay disponibles plantillas de matriz de gráficos que incluyen hasta cuatro concentraciones de especies simultáneamente en la ventana Graphics. Las plantillas de resultados están disponibles para todas las interfaces de transporte de especies químicas, independientemente del producto complementario, pero son especialmente útiles para las interfaces de transporte multicomponente incluidas en los módulos de ingeniería química, así como en el módulo CFD Module, Porous Media Flow Module, Subsurface Flow Module y Microfluidics Module.

La ventana Result Templates y una matriz de gráficos de todos los campos de concentración modelados en el modelo tutorial Fine Chemical Production in a Plate Reactor.
Nuevos modelos tutoriales
|
Two-Phase Nonisothermal Zero-Gap Alkaline Water Electrolyzer |
Water and Carbon Dioxide Co-Electrolysis in a Solid Oxide Electrolyzer Cell |
|
Ammonia-Fed Solid Oxide Fuel Cell |
Two-Phase Polymer Electrolyte Membrane Fuel Cell |
|
Parameter Estimation of a Polymer Electrolyte Membrane Fuel Cell Model |
Molten Carbonate Transport |
6.2
NOVEDADES
Interacción poro-pared y difusividades de Knudsen para el transporte masivo en fase gaseosa
Para las interfaces Hydrogen Fuel Cell y Water Electrolyzer, las funciones H2 Diffusion Layer, O2 Gas Disffusion Layer, H2 Gas diffusion Electrode y O2 Gass Diffusion Electrode incluyen una nueva casilla de verificación Include pore-wall interaction en la ventana Setting. Esta característica se puede utilizar para definir la difusividad de la pared utilizando la difusividad de Knudsen o valores definidos por el usuario. Las interacciones poro-pared suelen volverse más importantes a altas temperaturas en combinación con tamaños de poros pequeños, por ejemplo, en electrodos de difusión de gases basados en electrolitos de óxido sólido. El modelo tutorial Current Density Distribution in a Solid Oxide Fuel Cell y ambas versiones del modelo tutorial Solid Oxide Electrolyzer Using Thermodynamics se han actualizado para mostrar esta nueva característica.

La casilla de verificación Include pore-wall interaction se habilitó usando la difusividad de Knudsen en la interfaz del electrolizador de agua dentro del modelo del tutorial Solid Oxide Electrolyzer Using Thermodynamics.
Tortuosidades anisotrópicas
Para las interfaces Hydrogen Fuel Cell y Water Electrolyzer, la tortuosidad anisotrópica ahora puede ser utilizada en los nodos H2 Gas Diffusion Layer, O2 Gas Diffusion Layer, H2 Gas Diffusion Electrode y O2 Gas Diffusion Electrode para calcular coeficientes de difusión efectivos. Además, las interfaz Tranport of Concentrated Species ahora soporta tortuosidad anisotrópica en medios porosos. Esta nueva funcionalidad proporciona la capacidad de especificar diferentes difusividades de gas efectivas en el plano y a través del plano. Puede verse esta funcionalidad en el modelo tutorial Species Transport in the Gas Diffusion Layers of a PEM.

Especificación de tortuosidades anisotrópicas en la interfaz de la celda de combustible de hidrógeno en el transporte de especies en el modelo tutorial Gas Diffusion Layers of a PEM.
Resistencia de contacto
Para las interfaces electroquímicas, ahora se pueden incluir resistencias de contacto externas para las condiciones de contorno de Electric Ground, Electric Potential, Electrode Current y Electrode Power. Esta funcionalidad evita la necesidad de añadir un dominio delgado para describir una capa mal conductora, que de otro modo daría como resultado una malla muy densa, con muchos grados de libertad adicionales. La capacidad de añadir contacto genera una carga computacional baja manteniendo la precisión.
Esta funcionalidad también se ha añadido a las interfaces Hydrogen Fuel Cell y Water Electrolyzer. Además, el nuevo subnodo Internal Electrode Concat Resistance se puede añadir a los contornos internos Electrode Conductin Phase, por ejemplo, entre un Gas Diffusion Layer y un Gas Diffusion Electrode. Las resistencias de contacto en las interfaces electrodo-electrolito ahora también se pueden definir usando la sección Film resistance en los ajustes de las siguientes funcionalidades:
- H2 Electrode Surface
- O2 Electrode Surface
- Internal H2 Electrode Surface
- Internal O2 Electrode Surface
- Thin H2 Gas Diffusion Electrode
- Thin O2 Gas Diffusion Electrode
Pueden verse estas actualizaciones en los modelos tutoriales Nonisothermal PEM Fuel Cell y Low-Temperature PEM Fuel Cell with Serpentine Flow Field.

Resistencia de contacto añadida usando un nodo de resistencia de contacto de electrodo interno en el modelo tutorial de celda de combustible PEM no isotérmica.
Nuevas interfaces para flujo de medios porosos y libres acoplados
Hay una nueva interfaz multifísica Free and Porous Media Flow, Darcy que, una vez seleccionada, añade una interfaz Darcy's Law, una interfaz Laminar Flow y un nuevo acoplamiento multifísico Free and Porous Media Flow Coupling al árbol del modelo. Esta interfaz multifísica se puede utilizar con la nueva interfaz Phase Transport in Free and Porous Media Flow para modelar perfectamente el transporte multifase en flujo de medios libres y porosos.

Flujo de canal multifásico con una segunda fase que ingresa a través de un dominio poroso adyacente.
Modelo tutorial actualizado
Shunt Currents in an Alkaline Electrolyzer Stack
Un modelo de pila de electrolizador alcalino con corriente en derivación en los canales y colectores de entrada y salida.
6.1
NOVEDADES
La versión 6.1 brinda la capacidad de añadir especies auxiliares, solucionadores predeterminados mejorados y estabilización para modelos 3D, y mejoras en la condición de continuidad para geometrías de ensamblaje con pares de identidad.
Especies auxiliares en las interfaces de celda de combustible de hidrógeno y el electrolizador de agua
Ahora es posible añadir y definir arbitrariamente una especie auxiliar adicional en mezclas de gases de hidrógeno y oxígeno en las interfaces Hydrogen Fuel Cell y Water Electrolyzer. Esto permite un modelado más flexible de sistemas que contienen, por ejemplo, trazas de impurezas, compuestos sulfúricos, hidrocarburos pesados y amoníaco.

La ventana de configuración para definir las mezclas de gases en las interfaces de Hydrogen Fuel Cell y Water Electrlyzer.
Resolvedores predeterminados mejorados y estabilización en las interfaces de celda de combustible de hidrógeno y electrolizador de agua
La generación del resolvedor predeterminado para modelos 3D que utilizan las interfaces Hydrogen Fuel Cell y Water Electrolyzer se ha mejorado significativamente, y el resolvedor predeterminado generado depende de la configuración física y el número de grados de libertad. Para problemas grandes, los solucionadores iterativos multirrejilla algebraica ahora se generan de manera predeterminada, lo que reduce considerablemente el uso de memoria y el tiempo computacional. Además, se ha añadido la estabilización de los términos convectivos en las ecuaciones de transporte de fase gaseosa a las interfaces Hydrogen Fuel Cell y Water Electrolyzer. La estabilización añadida hace posible resolver modelos de celdas de combustible y electrolizadores con mallas más gruesas, lo que normalmente se necesita cuando se trabaja con geometrías más grandes.

Niveles de humedad relativa del agua resultantes en el modelo de celda de combustible PEM de baja temperatura con campo de flujo serpentino, donde el ancho de la placa del campo de flujo se aumentó a 50 mm, el número de canales se aumentó a 10 y el número de "U" repetidas unidades se ha aumentado a tres. Las geometrías de modelos más grandes de este tipo se benefician del solucionador predeterminado y las mejoras de estabilización.
Condición de continuidad mejorada en contornos del par de ensamblaje
Los pares de ensamblaje se utilizan normalmente cuando se utilizan elementos de malla que no coinciden en cada lado de un límite. La necesidad de usar pares de ensamblajes puede surgir cuando se usan, por ejemplo, mallas de barrido en geometrías 3D complejas. En la versión 6.1, la condición de contorno Continuity para las variables dependientes potenciales (tanto para las fases del electrodo como del electrolito) de los límites de los pares de conjuntos se ha mejorado significativamente en términos de precisión y estabilidad numérica en las interfaces de Current Distribution.
Coeficientes de actividad de especies no ideales
La versión 6.1 presenta la funcionalidad para modelar electrolitos no ideales utilizando la teoría de Debye-Hückel. En tales electrolitos, incluso una pequeña variación en la concentración, en el rango milimolar, puede causar cambios medibles en cantidades como el pH y el potencial de equilibrio del electrodo. La capacidad de dar cuenta de los efectos no ideales en el modelado y la simulación es, por lo tanto, una adición importante a las interfaces electroquímicas. En esta versión ahora es posible incluir estos efectos en las interfaces Terciary Current Distribution, Nernst-Planck y Transport of Diluted Species. Los coeficientes de actividad se pueden definir utilizando la actividad de especies de Debye-Hückel o expresiones definidas por el usuario.

Selección de las actividades de especies no ideales de Debye-Hückel . El ajuste se encuentra en los nodos de la Interfaz Terciaria de Distribución de Corriente, Nernst-Planck y la interfaz de Transporte de Especies Diluidas.
Fórmulas químicas avanzadas
Ahora es posible utilizar fórmulas más avanzadas para especies químicas y reacciones químicas. Los signos de cierre (), [] y {} se pueden usar para indicar unidades estructurales en la fórmula molecular en un complejo de coordinación, por ejemplo. Para mejorar la legibilidad, se pueden usar nombres simplificados en la fórmula de reacción para indicar una especie completa o una parte de la estructura molecular. Cuando se realiza el balanceo de la reacción, se considera la composición y carga completas.
Rendimiento mejorado de las evaluaciones de propiedades
El rendimiento mejorado de las evaluaciones de propiedades se nota en todos los cálculos de propiedades, como la densidad y la viscosidad, así como en las propiedades termodinámicas, como la capacidad calorífica y la presión de vapor. Los modelos en los que una parte importante del tiempo de solución se dedica a realizar evaluaciones de propiedades ahora se pueden resolver en hasta un 30 % menos de tiempo.
Funcionalidad mejorada para agregar especies a un sistema
Se ha ampliado y mejorado la funcionalidad para buscar especies en la base de datos y agregarlas a un modelo. Las especies filtradas de una búsqueda ahora se pueden agregar una a la vez usando la tecla Enter. Además, ya no es necesario restablecer el resultado del filtro cuando se ha agregado una especie.
Nuevo modelo tutorial
Fuel Cell Stack Cooling
Fracción molar de oxígeno (líneas aerodinámicas) y fracción molar de hidrógeno (superficie) en una pila de celdas de combustible de membrana de intercambio de protones (PEM).
6
NOVEDADES
La versión 6.0 trae una nueva biblioteca de materiales, formulaciones predefinidas para el transporte de agua en membranas y corrientes parásitas, y nuevas configuraciones de dominio para dominios mixtos de gas/líquido.
Nueva biblioteca de materiales de celdas de combustible y electrolizadores
Una nueva biblioteca de materiales para celdas de combustible y electrolizadores contiene propiedades para electrolitos alcalinos acuosos, electrolitos de carbonato fundido, electrolitos poliméricos y electrolitos de óxido sólido. Las propiedades de la membrana Nafion™ incluyen arrastre electroosmótico, absorción de agua, permeación de gases y conductividad iónica dependiente de la humedad.

Una celda de combustible de membrana de electrolito de polímero (PEM) modelada con un material de electrolito de polímero incluido en la biblioteca de materiales. Los resultados muestran los campos de flujo de gas, con canales rectos en el lado del ánodo de hidrógeno y una estructura de malla plana utilizada en el lado del cátodo de aire.
Especies adsorbedoras-desabsorbentes
Las capacidades de modelado de la condición de contorno Electrode Surface existente se han ampliado con un conjunto de ecuaciones predefinidas que realizan un seguimiento de la ocupación del sitio de la superficie y la concentración superficial de las especies adsorbidas. La nueva sección Adsorbing-Desorbing Species permite modelar la cinética de adsorción-desorción y la termodinámica en las superficies de los electrodos en combinación con reacciones electroquímicas de varios pasos.

La variación de concentración en una geometría deformada de una vía de orificio pasante después de la deposición de cobre.
Transporte de especies a través de celdas de combustible y membranas de electrolizadores
Las membranas de las pilas de combustible y los electrolizadores permiten cierta difusión de los gases disueltos entre los compartimentos de hidrógeno y oxígeno. Es especialmente difícil obstaculizar el transporte de hidrógeno. Las interfaces de Celdas de combustible de hidrógeno y Electrolizadores de agua ahora se actualizaron para incluir el cruce de hidrógeno, oxígeno y nitrógeno en celdas de combustible de membrana y electrolizadores. La reacción entre el hidrógeno y el oxígeno se considera entonces como una reacción parasitaria que reduce la eficiencia del proceso. Además, puede tener en cuenta la permeación del vapor de agua y definir el arrastre electroosmótico del agua (el transporte de moléculas de agua debido a la interacción con los protones).

La ventana Ajustes muestra la sección Transporte de membrana donde puede incluir el cruce de oxígeno e hidrógeno de sus respectivos compartimentos, así como el arrastre de agua electroosmótico.
Dominios mixtos de gas/líquido para electrolizadores alcalinos
A medida que se electroliza el agua, se produce una evolución de hidrógeno y oxígeno en los compartimentos del cátodo y el ánodo, respectivamente. Las burbujas de gas cambian el campo de flujo en los compartimentos de los electrodos y pueden reducir la conductividad electrolítica de las burbujas que se arrastran entre los electrodos. La interfaz del Electrolizador de agua ahora tiene en cuenta las fracciones de volumen de hidrógeno y oxígeno en los compartimentos de los electrodos. Los ajustes para esta funcionalidad están disponibles en los nodos de dominio Compartimiento de gas y electrolito en el árbol del modelo. El modelo tutorial Alkaline Electrolyzer muestra esta nueva característica.

La velocidad del electrolito líquido en el compartimiento de hidrógeno (izquierda) y el compartimiento de oxígeno (derecha). El electrolito se acelera con la flotabilidad proporcionada por el desprendimiento de gas en la superficie plana del electrodo a la izquierda y derecha de la celda. La ventana Ajustes para la fuerza de volumen en la interfaz de flujo bifásico Euler-Euler también se muestra en la figura. En la interfaz del electrolizador de agua están presentes dos funciones de compartimiento de electrolito de gas, para los compartimientos de hidrógeno y oxígeno respectivamente.
Condensación-Evaporación en Dominios de Gas en Celdas de Combustible y Electrolizadores
La condensación y evaporación del agua influye en las propiedades de transporte y los balances de energía en celdas de combustible y electrolizadores. En los modelos de alta fidelidad, estos procesos deben tenerse en cuenta. Por este motivo, existe una nueva característica predefinida de Condensación-evaporación de agua que permite añadir estos procesos a los dominios de gas. Esta funcionalidad hace que sea mucho más fácil tener en cuenta la condensación y la evaporación en celdas de combustible y electrolizadores. Puede verse esta nueva característica en el modelo de tutorial Fuel Cell Cathode with Liquid Water.

La ventana Ajustes para la funcionalidad de condensación-evaporación de agua que explica la condensación de agua líquida así como el transporte de agua líquida en los electrodos de difusión de gas en una celda unitaria de celda de combustible.
Reacción de desplazamiento de gas de agua en el compartimiento de hidrógeno en celdas de combustible y electrolizadores
El monóxido de carbono en el compartimento de hidrógeno de las celdas de combustible y los electrolizadores puede envenenar el catalizador. Una posible solución al problema del envenenamiento es desarrollar diseños que incorporen catalizadores para la reacción de desplazamiento de gas de agua (WGSR). En esta reacción, el monóxido de carbono se oxida con agua para producir dióxido de carbono e hidrógeno y, en las celdas de combustible, el hidrógeno puede aumentar aún más el rendimiento del ánodo. Con COMSOL Multiphysics® versión 6.0, hay una nueva función predefinida de reacción de desplazamiento de gas de agua que le permite agregar el WGSR al compartimento de hidrógeno.

Ajustes para la funcionalidad Water Gas Shift Reaction.
Deslizamiento poroso para la interfaz de ecuaciones de Brinkman
La capa límite en el flujo en medios porosos puede ser muy delgada y poco práctica de resolver en un modelo de ecuaciones de Brinkman. La nueva opción de tratamiento de paredes deslizantes porosas permite tener en cuenta las paredes sin resolver el perfil de flujo completo en la capa límite. En cambio, se aplica una condición de tensión en las superficies, lo que produce una precisión decente en el flujo masivo mediante la utilización de una solución asintótica del perfil de velocidad de la capa límite. La funcionalidad se activa en la ventana Ajustes de la interfaz de Ecuaciones de Brinkman y luego se utiliza para la condición de pared predeterminada. Esta nueva característica se puede utilizar en la mayoría de los modelos que involucran flujo subterráneo descrito por las ecuaciones de Brinkman y donde el dominio del modelo es grande.

La opción Porous Slip está disponible en la ventana de Ajustes de la interfaz de Ecuaciones de Brinkman
Transferencia de calor en medios porosos
La funcionalidad de transferencia de calor en medios porosos se ha renovado para que sea más fácil de usar. Una nueva área física de Medios porosos ahora está disponible en la rama de Transferencia de calor e incluye las interfaces de Transferencia de calor en medios porosos, Desequilibrio térmico local y Transferencia de calor en lecho empacado. Todas estas interfaces tienen una función similar, la diferencia es que el nodo Medio poroso predeterminado dentro de todas estas interfaces tiene una de tres opciones seleccionadas: Equilibrio térmico local, Desequilibrio térmico local o Lecho empacado. La última opción ha sido descrita anteriormente. La interfaz de Desequilibrio térmico local, que reemplazó al acoplamiento multifísico, corresponde a un modelo de dos temperaturas: una para la fase fluida y otra para la fase sólida. Las aplicaciones típicas pueden implicar un calentamiento o enfriamiento rápido de un medio poroso debido a la fuerte convección en la fase líquida y la alta conducción en la fase sólida, como en las espumas metálicas. Cuando se selecciona la interfaz Equilibrio térmico local, hay nuevas opciones de promedio disponibles para definir la conductividad térmica efectiva según la configuración del medio poroso.
Flujo no isotérmico en medios porosos
La nueva interfaz multifísica de Flujo no isotérmico, Ecuaciones de Brinkman añade automáticamente el acoplamiento entre la transferencia de calor y el flujo de fluido en medios porosos. Combina las interfaces Transferencia de calor en medios porosos y Ecuaciones de Brinkman. Puede verse esta nueva característica en el modelo tutorial Free Convection in a Porous Medium.

El ejemplo tutorial Free Convection in a Porous Medium hace uso de la nueva funcionalidad de flujo no isotérmico. Temperatura (K) en una estructura porosa sometida a gradientes de temperatura y posterior convección libre.
Gestión muy mejorada de materiales porosos
Los materiales porosos ahora se definen en la tabla Propiedades específicas de fase en el nodo Material poroso. Además, se pueden añadir subnodos para las características sólidas y fluídicas donde se pueden definir varios subnodos para cada fase. Esto permite el uso de un mismo material poroso para el flujo de fluidos, el transporte de especies químicas y la transferencia de calor sin tener que duplicar las propiedades y configuraciones del material.

El nuevo nodo Materials para Porous Material ejemplificado en un modelo multiescala de un lecho empacado.
Flujo de reacción no isotérmica
Ahora hay interfaces multifísicas de Flujo reactivo no isotérmico que configuran automáticamente modelos de flujo reactivo no isotérmico. El acoplamiento multifísico Reacting Flow ahora incluye la opción de acoplar las interfaces Química y Transferencia de calor. Con este acoplamiento, las contribuciones cruzadas entre el calor y las ecuaciones de especies, como la entalpía de cambio de fase o el término de difusión de entalpía, se incluyen en el modelo. La temperatura, la presión y la dependencia de la concentración de diferentes cantidades y propiedades del material también se tienen en cuenta automáticamente, lo que permite realizar el balance de calor y energía utilizando las variables predefinidas correspondientes. Esta nueva función puede verse en el modelo tutorial Dissociation in a Tubular Reactor.

Distribución de temperatura en un reactor tubular.
Nuevos modelos tutoriales
|
Alkaline Electrolyzer |
Low-Temperature PEM Fuel Cell with Serpentine Flow Field |
|
Nonisothermal PEM Fuel Cell |

COMSOL Multiphysics 6.4