Chemical Reaction Engineering Module es un módulo diseñado para estudiar sistemas reactivos que incluyan efectos de transporte de materiales y energía.
Arrancando con modelos independientes del espacio, el módulo tiene herramientas para investigar la cinética utilizando diferentes químicas, bajo las típicas condiciones controladas para la escala de laboratorio y de banco. Para simular condiciones de operación realistas, el módulo utiliza estas químicas y entonces incluye los efectos de variaciones espaciales y de temperatura.
El módulo está dirigido a aplicaciones industriales que incluyan el diseño de sensores en instrumentos analíticos, catalizadores y diseño de filtro en sistemas de escape para automoción, y desarrollo de procesos y productos de productos de consumo, productos químicos refinados y especiales, productos farmacéuticos, y procesado químico de volumen.
Chemical Engineering Module y Reaction Engineering Module han sido sustituidos por el nuevo Chemical Reaction Engineering Module en COMSOL Multiphysics v4.0a.
El Módulo de Ingeniería Química se puede usar en un campo amplio de aplicaciones. Algunos de estos áreas son:
La versión 5.5 incluye la habilidad de generar materiales a partir de un sistema termodinámico, modelos de difusividad para gases y líquidos, y propiedades de agua y vapor.
Generar material desde un sistema termodinámico
Cuando se estudia una mezcla con múltiples especies químicas, el nodo de termodinámica puede ser utilizado para analizar cómo dependen las propiedades de la mezcla de la composición y de las condiciones del sistema. Reconociendo que la forma más conveniente de definir propiedades físicas en COMSOL Multiphysics® es utilizar un material, ahora se puede generar automáticamente un nodo de material a partir de un sistema termodinámico. Pueden incluirse en el material propiedades como la densidad, capacidad calorífica, viscosidad dinámica, difisovodad y la conductividad térmica. Una vez que el material se ha creado, puede ser utilizado para definir propiedades a través de múltiples interfaces físicas, por ejemplo, para modelar flujo de fluido, transferencia de calor, y o transferencia de masa. Se puede ver esta nueva funcionalidad en los modelos Engine Coolant Properties y Analysis of NOx Reaction Kinetics.
El material "Liquid: ethylene glycol-water" es creado a partir del ayudante Generate Material, disponible en el menú contextual de un Sistema Termodinámico.
Modelos de difusividad para gases y líquidos
Se han añadido a los sistemas termodinámicos una serie de modelos para la difusividad en gases y líquidos. Cuando se estudian sistemas diluidos donde una especie solvente está en exceso, se pueden crear fácilmente funciones para los coeficientes de difusión en una dilución infinita. Para estudiar sistemas concentrados, pueden crearse funciones para las difusividades Maxwell–Stefan. Puede verse esta nueva funcionalidad en el modelo Analysis of NOx Reaction Kinetics.
Coeficientes de difusión para especies de soluto en un sistema en fase de gas donde el nitrógeno está en exceso.
Propiedades de agua y vapor
Un nuevo modelo termodinámico para sistemas de agua y vapor está ahora disponible. El modelo incluye correlación de propiedades sugeridas por la International Association for Properties of Water and Steam (IAPWS). Con esta funcionalidad se puede evaluar termodinámica precisa y propiedades de transporte a través de todas las fases, desde agua líquida y vapor húmedo hasta vapor sobrecalentado. Para el vapor, ahora están disponibles propiedades del gas real cercanas a la saturación y cerca del punto crítico. Para agua líquida, se proporciona la proximidad del punto de ebullición, entre otros.
Diagrama de fase presión-entalpía para agua líquida y vapor generado utilizando el nuevo modelo termodinámico de Agua (IAPWS).
Generación de una interfaz química para un sistema termodinámico
De forma similar a crear materiales ahora se puede crear automáticamente una interfaz Chemistry desde el sistema termodinámico. La interfaz Chemistry se configurará para incluir las mismas especies, así como las propiedades de mezcla y transporte a ser utilizadas, automáticamente definidas desde la contraparte termodinámica. Esto facilita comenzar definiendo un sistema termodinámico, incluyendo un número de especies químicas, y entonces creando un sistema químico correspondiente. Además, se pueden definir reacciones entre las especies, y la interfaz Chemistry puede utilizarse para simular transporte de masa y reacciones en tanques u otros equipos de procesos químicos. Esta nueva funcionalidada puede verse en el modelo Dissociation in a Tubular Reactor.
La versión 5.3a incluye una base de datos de propiedades termodinámicas para fluidos, funcionalidad para acoplar estas propiedades a las interfaces de ingeniería de reacciones y tres modelos tutoriales para demostrar la nueva funcionalidad.
Funcionalidad integrada para calcular propiedades termodinámicas
La base de datos de propiedades termodinámicas del módulo Chemical Reaction Engineering Module posibilita el cálculo de propiedades de fluidos como la entalpía de formación, entalpía de reacción, capacidad calorífica, conductividad térmica, densidad, difusividad y composición de equilibrio. Estas propiedades pueden calcularse para fluidos puros, mezclas y para sistemas de fluidos bifásicos que consten de componentes puros y mezclas.
Se puede crear un paquete de propiedades para un sistema específico, que especifique las especies disponibles y las fases (estados de agregación) que puedan estar presentes en el sistema modelado. El paquete de propiedades define y evalúa las funciones para propiedades termodinámicas y de tranporte del sistema químico, por ejemplo, las propiedades de especies y mezclas para líquidos, gases, equilibrios gas-vapor (cálculos flash) y equilibrios líquido-líquido.
La base de datos integrada contiene propiedades de transporte y termodinámicas para 251 especies químicas o compuestos. La funcionalidad Paquete de propiedades externas enlaza a paquetes conformes con CAPE-OPEN para calcular funciones de propiedades además de las de la base de datos integrada.
Ventana de ajustes para un Paquete de Propiedades. Se seleccionan las especies para el proceso de reformación del metano de la base de datos termodinámicos integrada.
Definición automática de propiedades termodinámicas mediante acoplamiento a paquetes de propiedades
Siguiendo la creación de un paquete de propiedades se pueden acoplar especies químicas en él con especies químicas definidas en las interfaces de Ingeniería de reacciones o Química. Esto implica que todas los parámetros de propiedades de las especies y funciones de propiedades, requeridos por estas interfaces, pueden crearse automáticamente por el paquete de propiedades. Ejemplos de propiedades de especies que pueden ser creadas automáticamente son la masa molar, la capacidad calorífica, entalpía y entropía de cada especie. Las interfaces Ingeniería de reacciones y Química también pueden ser utilizadas para definir propiedades de transporte para la mezcla resultante (todas las especies en la interfaz). Cuando se acoplan pueden crearse automáticamente las siguientes propiedades de la mezcla: capacidad calorífica, densidad, difusividad, conductividad térmica y viscosidad dinámica.
El uso de un paquete de propiedades incrementa significativamente las capacidades de modelado en las interfaces de Ingeniería de reacciones y Química. Todos los modelos termodinámicos ideales y no ideales, para gases y líquidos, están disponibles directamente y son actualizados automáticamente editando los ajustes para el paquete de propiedades. Más aún, la interfaz Química puede utilizarse para hacer que las propiedades de la mezcla estén fácilmente disponibles en modelos dependientes del espacio para el modelado de tranporte de masa, transferencia de calor o flujo de fluido.
La ventana de ajustes de una interfaz de Ingeniería de reacciones cuando se acopla a un Paquete de propiedades. Las especies en la interfaz de Ingeniería de reacciones pueden coincidir con el paquete de propiedades termodinámicas.
La densidad, viscosidad, capacidad calorífica y conductividad térmica para el fluido refrigerante en un motor de combustión de cuatro cilindros se calcula con un paquete de propiedaes termodinámicas. Se corre un análisis del flujo del fluido y transferencia de calor completamente acoplado con las funciones de propiedades termodinámicas y de transporte.
Interfaz de flujo en medios libre y poroso renovada
Con la nueva versión de la interfaz Flujo en medio libre y poroso se puede acoplar flujo laminar o libre turbulento con flujo en medios porosos. Esta interfaz sigue siendo única en su acoplamiento con las interfaces electroquímicas para el modelado de electrodos porosos.
Modelo de permeabilidad de Kozeny-Carman
El modelo de permeabilidad de Kozeny-Carman, disponible para la interfaz de Ley de Darcy en COMSOL Multiphysics 5.3a, permite estimar la permeabilidad de medios granulares a partir de la porosidad y el diámetro de las partículas.
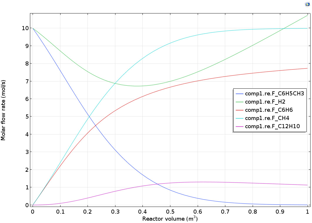
Nuevo modelo tutorial: Hydrodealkylation in a membrane reactor
Una de las principales utilidades de la base de datos de propiedades termodinámicas es para modelar sistemas reactivos en química e ingeniería química. El proceso de hidrodesalquilación llevada a cabo en un reactor de membrana es modelado utilizando las evaluaciones termodinámica y de propiedades físicas integradas. El problema de transporte y reacción se define y resuelve con un paquete de propiedades termodinámicas para un reactor tubular con y sin membrana.
Tasa de flujo molar en la salida del reactor de membrana como función de la longitud del reactor para el reactor de membrana.
Nuevo modelo tutorial: Engine Coolant Properties
Una posible segunda aplicación de la base de datos de propiedades termodinámicas es el modelado de problemas de flujo de fluido puro que involucren transferencia de calor, p. ej., sin reacciones químicas involucradas. En este modelo tutorial, se pueden investigar las propiedades de un refrigerante líquido para motores de combustión interna. Aunque el agua pura funciona bien como refrigerante, para evitar que se congele a bajas temperaturas, normalmente se utiliza una mezcla de etilenglicol y agua para bajar el punto de congelación. Aquí se utiliza la funcionalidad termodinámica integrada para mostrar cómo todos, el punto de ebullición, densidad, viscosidad, conductividad térmica y capacidad térmica, dependen de la composición de la mezcla refrigerante, y cómo cambios en estas propiedades afectan al proceso de enfriamiento.
Se considera la temperatura del refrigerante dentro del dispositivo de test.
Nuevo modelo tutorial: Distillation column
La tercera posible aplicación de la nueva base de datos de propiedades termodinámicas es el modelado de la nueva base de datos de propiedades termodinámicas es para modelar los procesos de separación que involucren cálculos flash, por ejemplo, destilación. Este tutorial muestra cómo hacer un modelo simple de un proceso de destilación binaria, modelando la separación de una mezcla de líquido no ideal de etanol y agua. El proceso de destilación se realiza en una columna empacada utilizando la diferencia en volatilidad para separar las especies en gas a contracorriente y fases líquidas. El modelo utiliza una función de Cálculo de Equilibrio de la nueva base de datos de propiedades termodinámicas integrada. El objetivo del modelo es encontrar el diseño óptimo de la columna, en términos de longitud de las secciones de pelado y rectificación, para encontrar un conjunto de destilados y composiciones de fondo predefinidas.
Diagrama x-y (diagrama de fase) que muestra las líneas de operación calculadas dentro de la columna de destilación.
Chemical Reaction Engineering Module 5.3 incluye nuevas interfaces físicas para modelar flujo reactivo en medios porosos, transporte de especies químicas en fracturas, separación de cargas con ecuaciones de Nernst-Planck y ecuación de Poisson y flujo electroforético.
Nueva interfaz de flujo reactivo en medios porosos
Modelar camas empacadas, reactores monolíticos y otros reactores heterogéneos catalíticos se simplifica sustancialmente con la interfaz de Flujo reactivo en medios porosos. Esta define la difusión, convección, migración y reacción de especies químicas para flujo en medios porosos, sin tener que configurar interfaces separadas y acoplarlas. La interfaz multifísica automáticamente combina todos los acoplamientos e interfaces físicas requeridas para el modelado de catálisis heterogéneas junto con flujo en medios porosos y transporte de especies químicas diluidas o concentradas.
Como que esta interfaz multifísica complementa a otras similares para flujo laminar y turbulento, se puede cambiar o definir nuevos acoplamientos a otros tipos de modelos de flujo sin tener que redefinir y configurar una nueva interfaz para los fenómenos físicos participantes. La ventana de Ajustes permite seleccionar el tipo de flujo a modelar así como el transporte de las especies químicas, sin pérdida de ninguna de las propiedades de los materiales definidas o las cinéticas de reacción. Esto significa que se pueden comparar diferentes estructuras de reactores o modelar flujo tanto en medios libres como en medios porosos en un reactor, incluso cuando los dos regímenes están conectados (ver imagen).
Modelado de un microrreactor poroso mostrando las isosuperficies de concentración de un reactivo inyectado a través de una aguja vertical en un flujo libre que contiene un segundo reactante que entonces se fuerza a través de una sección de medios porosos catalítica monolítica del reactor. El modelo ahora puede ser definido completamente con la nueva interfaz multifísica de Flujo reactivo en medios porosos.
Nueva interfaz de Transporte de especies diluidas en fracturas
Las Fractura tienen un grosor que es muy pequeño en comparación con sus dimensiones de longitud y anchura. A menudo es difícil de modelar el transporte de especies químicas en tales fracturas teniendo que mallar el grosor de la superficie de la fractura, debido a la relación de aspecto que hay que tratar por las grandes diferencias en las dimensiones de los tamaños. La nueva interfaz de Transporte de especies diluidas en fracturas trata la fractura como una placa, donde únicamente las dimensiones transversales son malladas como una malla superficial..
La interfaz permite definir el grosor medio de la fractura, así como la porosidad en los casos donde la fractura se considera como una estructura porosa. Para el transporte de especies químicas, la interfaz permite la definición de modelos de difusividad efectiva para incluir efectos de porosidad. Se puede acoplar transporte convectivo a una interfaz de Flujo de película delgada o incluyendo sus propias ecuaciones para definir el flujo del fluido a través de la fractura. Además, puede definirse que ocurran reacciones químicas dentro de las fracturas, en sus superficies o en un medio poroso que abarque la fractura.
Transporte de especies diluidas a lo largo de una superficies de fractura ligeramente curvada. La superficie curvada consta de una tortuoso camino grabado a través de la superficies donde existen flujo y transporte de especies químicas.
Superficies de fractura en la interfaz de Transporte de especies diluidas en medios porosos
En casos donde el transporte ocurre en una fractura, estructura porosa 3D, la nueva condición de contorno Fractura permite modelar transporte en fracturas delgadas sin tener que mallarlas como entidades 3D. La condición de contorno Fractura es incluida en la interfaz de Transporte de especies diluidas en medios porosos (ver imagen) y tiene los mismos ajustes que la interfaz de Transporte de especies diluidas en fracturas (descrita anteriormente). El flujo de fluido y el transporte de especies químicas se acoplan perfectamente entre una estructura de medio poroso 3D y un flujo de fluido y tranporte de especies químicas en una fractura.
la imagen inferior muestra el campo de concentración en un modelo de reactor poroso. En el modelo, una fractura retorcida "filtra" reactantes profundamente en el catalizador poroso, de izquierda a derecha, a una velocidad más rápida que el transporte a través del medio poroso. Esto ocurre así porque la superficie de la fractura tiene una porosidad media mucho más alta en comparación con el catalizador poroso circundante, que proporciona una tasa de transporte de masa más alto.
Niveles de concentración a través del reactor 3D y concentración de superficie en la superficie de la fractura. La tasa de transporte de masa más alta en la superficie de la fractura proporciona una penetración más grande (de derecha a izquierda) de especies no reaccionadas en la cama del catalizador. Se puede ver que el cambio en la concentración de derecha a izquierda es muy pequeña en la superficie de la fractura (de 0.63 a 0.62 mol/m3)
Funcionalidad termodinámica actualizada para bases de datos CAPE-OPEN
La interfaz de usuario para definir funciones termodinámicas y Paquetes de propiedades de bases de datos que siguen CAPE-OPEN han sido simplificada para que sea más fácil y transparente enlaza el módulo de ingeniería de reacciones químicas con bases de datos externas.
Nueva interfaz de ecuaciones Nernst-Planck-Poisson
El transporte de iones en electrolitos sujetos a campos eléctricos está conducido por difusión, migración y convección, que se describen por las ecuaciones de Nernst-Planck. En los casos donde el campo eléctrico es grande, es posible obtener separación de cargas (desviación de la electroneutralidad) localmente en el electrolito, por ejemplo cerca de las superficies del metal o cerámica. La separación de carga puede ser modelada con las ecuaciones de Nernst-Planck en combinación con la ecuación de Poisson para conservación de la carga. La última versión del módulo contiene la interfaz de Ecuaciones de Nernst-Planck-Poisson para modelar este tipo de sistemas.
Nueva interfaz de transporte electroforético
La nueva interfaz de Transporte electroforético puede utilizarse para investigar el transporte de ácidos débiles, bases, y anfólitos en solventes acuosos. La interfaz física típicamente se utiliza para modelar varios modos electroforéticos, como electroforesis zonal, isotacoforesis, enfoque isoeléctrico y electroforesis de contorno móvil, pero es aplicable a cualquier sistema acuoso que involucre múltiples equilibrios ácido-base.
Nuevo tutorial: Zone Electrophoresis
Este tutorial sirve como una introducción para la interfaz de Transporte electroforético. Se configura un problema de electroforesis zonal para la separación de una muestra que contiene anilina y piridina.
Tutorial actualizado: Separación isoeléctrica
Este ejemplo aplica las interfaces Transporte electroforético y Flujo laminar para modelar separación isoeléctrica en un dispositivo de electroforesis de flujo libre. Una corriente que contiene cuatro proteínas diferentes las separa en corrientes concentradas por medio de transporte migrativo en un campo eléctrico.
Los usuarios del módulo Chemical Reaction Engineering Module, encontrarán en la versión 5.2a una nueva interfaz multifísica de Flujo reactivo para acoplar flujo de fluido y reacciones en gases y líquidos, así como capacidades para modelar reacciones de especies de superficie en la funcionalidad de Cama de gránulos reactivos y exportar la cinética de reacciones de superficie en la interfaz de Ingeniería de reacciones.
Nueva funcionalidad para las opciones de Cama de gránulos reactivos: Reacciones de superficie
La funcionalidad de Cama de gránulos reactivos ahora permite modelar reacciones de especies de superficie utilizando la funcionalidad de Reacciones de superficie. La especies de superficie, disponibles en la interfaz de Transporte de especies diluidas y en la interfaz de Transporte de especies diluidas en medios porosos, se considera que son adsorbidas (inmóviles) en las paredes del poro dentro de los gránulos de los poros. Se puede modelar cualquier número de especies de superficie y sus correspondientes reacciones.
La concentración de superficie dentro de los de las partículas porosas forman una cama catalítica (concentración en la superficie de los poros dentro de los gránulos), simulada utilizando la funcionalidad Reactive Pellet Bed. Una especie de volumen es transportada pasado y a través de partículas porosas catalíticas. La especie reacciona en la interfaz fluido-matriz dentro de los gránulos que forman la partícula. La velocidad del fluido de volumen y la concentración de superficie son visualizadas. La concentración de superficie media resultante en la partícula porosa se muestra junto con la concentración dentro de un gránulo simple en una posición particular y en tres tiempos diferentes.
Nueva funcionalidad en Reaction Engineering: Exportación de reacciones de superficie
Nueva interfaz Multifísica de flujo reactivo
Nueva funcionalidad en Transporte de especies concentradas: Propiedades de transporte en medios porosos
La nueva funcionalidad de Transporte de medios porosos permite el estudio de transporte de multicomponentes en una solución que fluye a través de un medio poroso. La nueva funcionalidad incluye modelos para calcular propiedades del transporte efectivo que son dependiente de la porosidad del material en combinación con tranporte en mezclas concentradas.
La distribución de porosidad en un reactor para la descomposición térmica del metano en una catalizador sólido Ni-Al203 es estudiada utilizando la funcionalidad de Propiedades de transporte en medios porosos. La porosidad decrece ca medida que se forma hollín en la reacción de descomposición.
Paso a paso pseudotemporal en la interfaz de Transporte de especies concentradas
La nueva funcionalidad de paso a paso pseudotemporal para la interfaz de Transporte de especies concentradas mejora significativamente las velocidades de convergencia de los resolvedores para estudios estacionarios. Es específicamente beneficiosa cuando el flujo de especies es dominada por advección (números de Péclet grandes), por ejemplo en flujos reactivos turbulentos.
Nueva app: Diálisis de membrana
La diálisis es una método de separación de especies químicas ampliamente utilizado. Uno de estos ejemplos es la hemodiálisis, que actúa como riñones artificiales para la gente con fallos renales. En la diálisis, solo se permiten componentes específicos que se difundan a través de la membrana, basándose en sus diferencias moleculares y solubilidad.
La app Membrane Dialysis simula un proceso para disminuir la concentración de contaminantes en un fluido. El dispositivo consta de un módulo de fibra hueca, donde las paredes de las fibras huecas actúan como membrana para eliminar el contaminante.
Los resultados de esta app pueden ayudar en la selección de materiales de la membrana, las dimensiones de las fibras y las condiciones de funcionamiento.
Interfaz gráfica de usuario de la app Membrane Dialysis mostrando la concentración de contaminante en la fibra.
Nueva app: Cromatografía líquida
La cromatografía líquida de alto rendimiento (High-performance liquid chromatography o HPLC) es un método común de separar, identificar y cuantificar cada componente químico en una mezcla. HPLC se puede encontrar en las industrias farmacéuticas, biotecnológicas y de alimentación.
La app Liquid Chromatography simula la separación de dos especies en una columna de cromatografía líquida genérica.
Las simulaciones pueden ayudar a determinar con precisión los elementos de diseño de columnas de cromatografía y detalles de separación de componentes. Esto incluye la longitud y porosidad de la columna y las condiciones específicas de los dos componentes, incluyendo su isoterma de Langmuir. Todo esto puede cambiarse dentro de la app.
La interfaz gráfica de usuario para la app Liquid Chromatography muestra la concentración de los dos componentes a los 120 segundos.
Velocidad de reacción de especies editable en los nodos de especies
Con COMSOL Multiphysics versión 5.2, se puede cambiar fácilmente la velocidad de reacción individual de una especie directamente en el nodo de especies de la interfaz Reaction Engineering. La expresión introducida anula la definición de velocidad configurada por la funcionalidad Reaction, que por defecto sigue la ley de acción de la masa. En versiones anteriores del programa se editaban las velocidades de reacción de las especies en la vista de ecuación, que podría requerir fuentes adicionales para su compensación.
Nuevas formas de partículas catalíticas en camas de gránulos reactivos
Importación mejorada de datos experimentales para estimación de parámetros
La funcionalidad Experiment de la interfaz Reaction Engineering ahora puede convertir la unidad de los datos importados para estimación de parámetros. Utiliza la opción Weight para controlar la importancia de cada tipo de dato durante la optimización.
Funcionalidad de reacción de equilibrio mejorada
Para reacciones de equilibrio en la interfaz Reaction Engineering, ha sido introducida una casilla de verificación Suppress negative concentrations para ayudar a la solución de sistemas en equilibrio. La selección de la casilla asegura que no se acepten valores de concentración negativos como soluciones a la condición de equilibrio.
Unidades de contentración molar y milimolar
Se han añadido las unidades molar (M (moles/l)) y milimolar (mM (mmoles/l)) para especificar concentración, además de la unidad del sistema internacional SI de moles/m3.
Nuevo tutorial: Fermentación en fabricación de cerveza
Una célula de flujo en un biosensor contiene un array de micropilares, y las superficies cóncavas de los pilares son recubiertas con un material activo que adsorbe selectivamente biomoléculas en la corriente de la muestra. Esta aplicación permite que el usuario cambie el diseño del sensor alterando parámetros de entrada como el diámetro del pilar, el espaciado de la rejilla y la velocidad de entrada para ver cómo afectan a los resultados de detección.
La app del diseño de biosensor muestra un corte de concentración después de una simulación.
Un método para la predicción de la viscosidad de la mezcla está ahora disponible para mezclas de gases en las interfaces de ingeniería de reacciones y química. Previamente sólo estaban disponibles las predicciones de viscosidad de gases puros.
La hinchazón higroscópica es un efecto de deformación interna del material causada por cambios en el contenido de humedad. El nuevo acoplamiento multifísico Hygroscopic Swelling se utiliza para acoplar la concentración de humedad entre las interfaces de transporte de especies diluidas o transporte de especies diluidas en medios porosos y la interfaz de mecánica de sólidos.
La interfaz de transporte de especies concentradas ahora proporciona variables de concentración basada en la masa (kg/m3) además de fracciones de masa. Estas se pueden utilizar en postprocesado, informes y visualización, añadiendo la flexibilidad para presentar datos en diferentes unidades dependiendo de las preferencias de la persona que interprete los resultados.
Las interfaces de la ley de Darcy ahora soportan dominios de elemento infinito y cálculos más avanzados de los flujos en contornos.
Para facilitar el modelado de reactores de cama empacada, se dispone de una nueva funcionalidad para modelar ecuaciones de transporte y ecuaciones de reacción dentro de pellets, que utiliza la nueva tecnología de núcleo para dimensiones extra. La dimensión extra es configurada para ser 1D. La concentración media en un pellet está disponible para el postprocesado.
Nuevo Modelo: Un reactor de cama empacada 3D multiescala. Uno de los reactores más común en la industria química, el reactor de cama empacada, es utilizado tanto en síntesis como en tratamiento de efluentes y combustión catalítica. Este modelo analiza la distribución de concentración en el gas reactor que fluye alrededor de los pellets (macroescala), pero también utiliza una dimensión extra que modela la distribución de concentración dentro de cada pellet catalítico poroso (microescala).
Una nueva interfaz química, similar a la de la Librería de Materiales, contiene una librería de propiedades termodinámicas y cinéticas para un sistema de reacción química dado.
La interfaz de Transporte de especies diluidos en medios porosos es un nuevo punto de entrada en el Asistente de Modelo bajo Transporte de Especies Químicas, con una funcionalidad de dominio de Propiedades de transporte de medios porosos por defecto. Esta reemplaza y unifica a las antiguas interfaces de Transporte de Soluto y Transporte de especies en medios porosos. La interfaz de transporte de especies diluidas en medios porosos también incluye métodos de estabilización numérica para las funcionalidades de medios porosos. Esto proporciona campos de concentración suaves incluso en los casos donde algunas regiones del dominio son insuficientemente resolubles numéricamente. También incluye la funcionalidad de Fuente de Especies, que tiene en cuenta fuentes (o sumideros) de especies químicas en dominios porosos.
La funcionalidad de Medios porosos parcialmente saturados en la interfaz de transporte de especies diluidos permite el modelado de convección, difusión, adsorción, dispersión y volatilización en dominios porosos parcialmente saturados. Además, una nueva funcionalidad de Propiedades de transporte en medios porosos en la interfaz de Transporte de Especies Diluidas proporciona acceso a la misma funcionalidad. También incluye la funcionalidad de Fuentes de Especies, que tiene en cuenta las fuentes (o sumideros) de especies químicas en dominios porosos.
La funcionalidad de Concentraciones basadas en masa en la interfaz de Transporte de especies diluidas permite especificar la densidad de solvente y la masa molar por especie.
Un nuevo nodo de dominio de Reacción de Equilibrio está disponible en la interfaz de Transporte de especies diluidas, la interfaz de Flujo reactivo en especies diluidas en medios porosos, y la de Nernst-Planck.
Una nueva opción de flujo de entrada Danckwerts está disponible en la funcionalidad de flujo de entrada de las interfaces de Transporte de especies diluidas y Nernst-Planck.