COMSOL Plasma Module 6.3
DESCRIPCIÓN
Los plasmas de baja temperatura representan una amalgama de mecánica de fluidos, ingeniería de reacciones, cinética física, transferencia de calor, transferencia de masa y electromagnetismo. Plasma Module es una herramienta especializada para el modelado de descargas de no equilibrio que ocurren en un amplio rango de disciplinas de ingeniería. Existen interfaces de modelado especializadas para la mayoría de los tipos de reactores de plasma más comunes incluyendo Plasmas Inductivamente Acoplados (ICP), Descargas de CC, Descargas calentadas por ondas (plasmas de microondas) y plasmas acoplados capacitivamente (CCP).
El modelado de la interacción entre el plasma y un circuito externo es una parte importante para la comprensión de las características globales de una descarga. Plasma Module proporciona herramientas para añadir elementos de circuitos directamente a un modelo 1D, 2D o 3D, o importar una "netlist" de SPICE existente en el modelo. La química del plasma se especifica o bien cargando en conjuntos de secciones cruzadas de colisiones desde un fichero, o añadiendo reacciones y especies al model builder. El complicado acoplamiento entre las diferentes físicas que contribuyen en un plasma es manejado automáticamente por las interfaces físicas.
SECTORES
- Plasmas acoplados inductivamente
- Plasmas de microondas
- Descargas de CC
- Plasmas acoplados capacitivamente
- Descargas de barreras dieléctricas
- Iluminación
- Pantallas de plasma
- Seguridad nacional
- Destrucción de gases peligrosos
- Fuentes de plasma
- Fuentes de iones
- Aguafuertes
- Procesado de semiconductores
VERSIONES
6.3
NOVEDADES
Esta versión trae nuevas interfaces para flujos de plasma no isotérmicos, la capacidad de importar reacciones de impacto de electrones en la función utilizada para grupos de reacción y nuevas funciones de entrada y salida de flujo para especies pesadas.
Nuevas interfaces de flujo de plasma no isotérmico
Una nueva rama Nonisothermal Plasma Flow en el árbol del Asistente de modelos (Model Wizard) incluye interfaces para simular el acoplamiento entre plasma, flujo de fluidos y transferencia de calor. Esta rama combina las interfaces Plasma, Heat Transfer in Fluids y Laminar Flow y añade automáticamente el acoplamiento multifísico Nonisothermal Plasma Flow. Todas las cantidades relevantes, como la conductividad térmica, la viscosidad dinámica y la velocidad del fluido, se pasan automáticamente entre las interfaces. La interfaz Plasma calcula la entalpía de las reacciones y la energía transferida a las especies pesadas por colisiones elásticas de impacto de electrones, que luego se implementan automáticamente en la interfaz Transferencia de calor en fluidos como una fuente de calor volumétrica.
Téngase en cuenta que las interfaces asociadas Plasma, Time Periodic y Coupled Plasma with RF Bias solo están disponibles para modelos 2D y axisimétricos 2D. Estas nuevas interfaces se incluyen en los modelos tutoriales Model of an Argon–Chlorine Inductively Coupled Plasma Reactor with RF Bias y Model of an SF6–Argon Inductively Coupled Plasma Reactor.
Soporte de reacciones de impacto de electrones en la función Grupo de reacción
Ahora es posible añadir reacciones de impacto de electrones a la función Reaction Group, donde las reacciones se pueden definir utilizando datos de sección transversal o parámetros de Arrhenius. Estas entradas se pueden añadir manualmente, importar desde un archivo o importar automáticamente utilizando el complemento Plasma Chemistry. Vea esta funcionalidad en los nuevos modelos tutoriales Model of an SF6–Argon Inductively Coupled Plasma Reactor y Global Model of an SF6–Argon Plasma.

La función Reaction Group muestra un conjunto importado de reacciones de impacto de electrones definidas por secciones transversales.
Nuevas funciones de entrada y salida
En la versión 6.3, hay nuevas características de flujo Inflow y Outflow disponibles que permiten especificar propiedades de flujo en límites seleccionados de grandes grupos de especies pesadas. Estas nuevas características simplifican considerablemente el proceso de definición de dichas propiedades en comparación con las versiones anteriores, donde se debían agregar subcaracterísticas individuales. Estas incorporaciones se pueden ver en los modelos tutoriales Model of an SF6–Argon Inductively Coupled Plasma Reactor y Model of an Argon–Oxygen Inductively Coupled Plasma Reactor.
Nuevos modelos tutoriales
|
Model of an SF6–Argon Inductively Coupled Plasma Reactor
|
Global Model of an SF6–Argon Plasma
|
6.2
NOVEDADES
Mayor estabilidad para plasmas de microondas
Ahora es posible implementar el paso de estudio de Frequency-Stationary en modelos de plasma de microondas, reduciendo significativamente el tiempo de cálculo. Esta formulación utiliza una combinación de configuraciones del resolvedor y parametriza la potencia de entrada del reactor de plasma en lugar de su potencia depositada, lo que da como resultado modelos de plasma de microondas más estables. Puede verse este paso de estudio en uso en el nuevo modelo tutorial Microwave Cavity Plasma Reactor y el actualizado Dipolar Microwave Plasma Source.

Un reactor de plasma de microondas que funciona con hidrógeno del nuevo modelo Microwave Cavity Plasma Reactor.
Reaction Group
Una nueva funcionalidad Reaction Group permite introducir una gran cantidad de reacciones de especies pesadas en una tabla, lo que facilita agregar reacciones químicas a los plasmas. Las entradas se pueden añadir manualmente, importar desde un archivo o añadirse automáticamente usando el complemento Plasma Chemistry. El modelo tutorial Microwave Cavity Plasma Reactor utiliza esta característica para añadir reacciones que involucran átomos y moléculas de hidrógeno.
Ecuación de conservación de energía de especies pesadas en modelos globales
En la versión 6.2, la ecuación de conservación de energía de las especies pesadas ahora se puede resolver en modelos globales definidos por ecuaciones diferenciales ordinarias u ODE. Esta funcionalidad se puede utilizar para estudiar el efecto de la temperatura del gas al probar la química del plasma con un enfoque de dimensión cero u ODE. También existen opciones para evaluar la temperatura del gas de alimentación y el calor transferido a las superficies. Puede verse esta actualización en el nuevo modelo tutorial Hydrogen Global Model Coupled with the Two-Term Boltzmann Equation.
Nuevos modelos tutoriales
|
Microwave Cavity Plasma Reactor |
Hydrogen Boltzmann Analysis |
|
Hydrogen Global Model Coupled with the Two-Term Boltzmann Equation |
6.1
NOVEDADES
La versión 6.1 brinda la capacidad de modelar reactores de plasma acoplados con un sesgo de RF periódico, un nuevo complemento Plasma Chemistry que crea una química de plasma completa a partir de un archivo de texto para modelos y cuatro nuevos modelos tutoriales.
Plasma acoplado inductivamente con interfaz multifísica de polarización de RF
La nueva interfaz multifísica de plasma acoplado inductivamente con polarización de RF combina las interfaces de Plasma, periódico en tiempo y Campos magnéticos para modelar reactores de plasma acoplado inductivamente (ICP) con una excitación periódica de radiofrecuencia capacitiva. El campo magnético se resuelve en el dominio de la frecuencia y las ecuaciones de transporte de plasma se resuelven para un estado estacionario periódico. Esta interfaz está dedicada al modelado de reactores de plasma con mecanismos de acoplamiento de potencia inductivos y capacitivos y se puede ver en el nuevo modelo "Model of an Argon and Chlorine Inductively Coupled Plasma Reactor with RF Bias".

Resultados de la simulación de un reactor de plasma acoplado inductivamente con polarización RF trabajando en una mezcla de argon y cloro.
Complemento de química de plasma
El complemento Plasma Chemistry crea automáticamente una química de plasma completa a partir de un archivo de texto para modelos que utilizan las interfaces Plasma y Plasma, periódico en tiempo. Con el complemento, pueden especificarse los aspectos de la química de un plasma en el archivo, como propiedades de especies como parámetros termodinámicos, reacciones de impacto de electrones de secciones transversales y constantes de velocidad, reacciones de especies pesadas y reacciones superficiales.

El complemento Plasma Chemistry (izquierda) se usa para importar un archivo de química de plasma de argón-cloro (derecha). Las características de plasma son creadas automáticamente por el complemento.
Nuevos modelos tutoriales
|
Model of an Argon and Chlorine Inductively Coupled Plasma Reactor with RF Bias |
Model of an Argon and Oxygen Inductively Coupled Plasma Reactor |
|
Model of an Argon and Oxygen Capacitively Coupled Plasma Reactor |
Dry Air Boltzmann Analysis |
6
NOVEDADES
La versión 6.0 trae estabilización consistente e inconsistente para el transporte de especies cargadas, pasos de estudio estacionarios y de frecuencia estacionaria para la interfaz de Plasma, y la dependencia del tiempo de la ecuación de Boltzmann en la aproximación de dos términos.
Estabilización consistente
La interfaz Plasma ahora incluye una estabilización consistente, basada en la difusión aerodinámica, para las ecuaciones de transporte de electrones e iones. Con esta nueva funcionalidad, puede resolverse sistemas de alto número de Péclet, como descargas de corona y serpentinas. Puede verse esta funcionalidad en los modelos DC Corona Discharge in a Point-to-Plane Configuration y Double-Headed Streamer in Nitrogen.

Densidad de electrones y líneas equipotenciales a 2.5 ns.
Pasos de estudio estacionarios y estacionarios en frecuencia
Al utilizar la interfaz Plasma, ahora puede añadirse pasos de estudio estacionarios y estacionarios en frecuencia. Estos enfoques estacionarios permiten parametrizaciones rápidas y el uso conveniente de la tecnología de optimización existente en COMSOL®. El tiempo de cálculo se reduce en gran medida para las descargas de CC e ICP cuando se utiliza un solucionador estacionario. El modelo Coil optimization of an ICP Reactor utiliza un paso de estudio de frecuencia estacionaria al optimizar la posición de la bobina para aumentar la uniformidad del plasma.

Potencia absorbida por los electrones obtenida con el diseño inicial (izquierda) y el diseño optimizado (derecha).
Estabilidad mejorada de las interfaces de descarga de equilibrio
Las interfaces Equilibrium Discharges tienen soluciones más rápidas y estables como resultado de cambios en las propiedades del plasma/fluido, así como en la configuración del resolvedor. Puede experimentarse estas mejoras en el modelo Inductively Coupled Plasma (ICP) Torch y también en los nuevos modelos: Plasma DC Arc y Plasma Pulsed Arc.

Amplitud de la velocidad del fluido y líneas de corriente para la parte de alta corriente del pulso.
Dependencia del tiempo para la ecuación de Boltzmann en la aproximación de dos términos
El tipo de estudio Dependiente del tiempo ahora está disponible para la interfaz Ecuación de Boltzmann, Aproximación de dos términos con la que se pueden estudiar problemas en los que no se puede suponer que el campo eléctrico sea constante en la escala de tiempo de las colisiones. El modelo Transient Negative Mobility and Negative Differential Conductivity in Xenon muestra esta nueva funcionalidad.

Evolución temporal de la velocidad de deriva de los electrones.
Nuevos modelos tutoriales
|
Double-Headed Streamer in Nitrogen |
DC Corona Discharge in a Point-to-Plane Configuration |
|
Plasma DC Arc |
Plasma Pulsed Arc |
|
Coil Optimization of an ICP Reactor |
Transient Negative Mobility and Negative Differential Conductivity in Xenon |
5.4
NOVEDADES
Interfaz física modificada: Boltzmann Equation, Two term Approximation
La interfaz Boltzmann Equation, Two-term Approximation ha sido rediseñada y ahora está disponible en 0D en vez de en 1D.
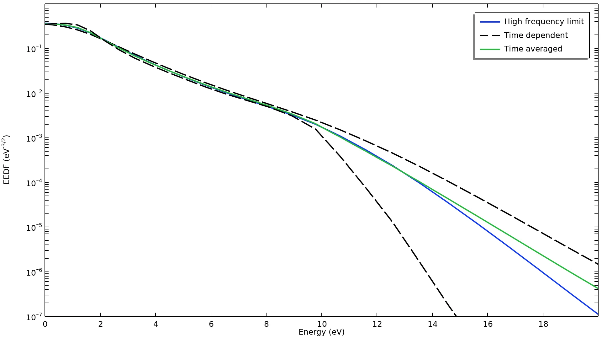
Modelado global de descargas no maxwellianas
Ahora es posible calcular la EEDF utilizando una aproximación de dos términos de la ecuación de Boltzmann para modelos de plasma global.
Otras funcionalidades nuevas
Entre otras funcionalidades clave nuevas se incluyen:
- Las propiedades de transporte para electrones ahora pueden ser calculadas desde la EEDF directamente.
- Se ha añadido una opción pulsada a la funcionalidad Metal Contact en la interfaz Plasma, Time Periodic. Esto permite que la descarga se dirija por un pulso en vez de una aplicación continua de la potencia.
- Se ha añadido una funcionalidad Species Group a la interfaz Plasma, Time Periodic, que puede utilizarse para mejorar la conservación de masa en modelos donde existe una composición química de múltiples elementos diferentes (por ejemplo, una mezcla de Ar/N2).
- Se ha añadido una funcionalidad Species Constraint Group a las interfaces Plasma y Plasma, Time Periodic que pueden ser utilizadas para restringir la fracción molar de una especie dada. Esto es útil para químicas complejas, ya que no se tiene que desactivar y reactivar especies y reacciones durante el desarrollo del modelo.
- Los ajustes del resolvedor por defecto para la interfaz Plasma, Time Periodic han sido mejorados. Los nuevos ajustes pueden decrementar el número de iteraciones requeridas para la convergencia y son más robustos.
5.3a
NOVEDADES
Los usuarios de esta versión encontrarán una nueva interfaz física para modelar plasmas acoplados capacitivamente varios órdenes de magnitud más rápidamente que antes, con varias funcionalidades y tutoriales incluidos para demostrar la funcionalidad.
Nueva interfaz física para modelado de plasmas acoplados capacitivamente
La nueva interfaz física Plasma, Time periodic se ha añadido para el modelado de plasmas acoplados capacitivamente (CCP) con tiempos de cálculo significativamente más rápidos. En lugar de resolver el problema en el dominio del tiempo, la solución de régimen estacionario periódico se calcula con un nuevo enfoque. La interfaz física añade una dimensión extra a las ecuaciones matemáticas involucradas representando un ciclo RF y forzando condiciones de contorno periódicas en la dimensión extra mencionada. Esto evita tener que resolver decenas, cientos o miles de ciclos RF, lo que normalmente lleva mucho tiempo antes de que el plasma alcance la solución de régimen permenante periódico. Este nuevo enfoque mantiene toda la no linealidad del modelo pero reduciendo drásticamente el tiempo de cálculo: Los modelos 1D tardan segundos en resolverse y los modelos 2D normalmente tardan del orden de una hora para una entrada de potencia dada. En comparación con la resolución del problema en el dominio del tiempo con COMSOL Multiphysics®, se observó la siguiente mejora de velocidad (se consideran 50000 ciclos RF antes de que la descarga alcance su solución permanente periódica).
| Dimensión | Tiempo aproximado, versión 5.3 | Tiempo aproximado, versión 5.3a |
| 1D | 10 horas | 20 segundos |
| 2D | 2 semanas | 1 hora |
Adicionalmente este nuevo enfoque de modelo tiene las siguientes ventajas
- Las integrales realizadas sobre ambas, la dimensión extra y la geometría base pueden utilizarse en las misma ecuaciones. Esto permite que los contactos y terminales se puedan alimentarse directamente con una potencia fija en vez de una tensión constante, lo que es importante no solo para la estabilidad numérica sino también para descargas donde ocurre una transición alfa a gamma. En estos casos, una excitación de tensión constante podría producir dos soluciones diferentes dependiendo de las condiciones iniciales; pero con una potencia fija, solo existe una solución física. Además, la potencia de descarga normalmente es conocida, mientras que el potencial del electrodo a menudo no.
- El autosesgo CC puede calcularse fácilmente con una ecuación adicional, en vez de con los métodos adhoc utilizados en métodos tradicionales.
- Los barridos paramétricos sobre las condiciones operativas son rápidos y fáciles, ya que el problema no se soluciona en el dominio del tiempo. Para modelos 1D, se pueden realizar barridos de una rango de potencias, presiones, frecuencias, etc. en solo unos pocos minutos.
- Las redes de adaptación son más fáciles de incluir en el modelo, así que el plasma se puede alimentar con una red de adaptación tipo L. Adicionalmente es fácil calcular la impedancia del plasma a la frecuencia fundamental, lo que es útil cuando se diseñan redes de adaptación.
- Los armónicos generados por el plasma todavía se resuelven por el método; no existen aproximaciones en el modelo. Es posible observar cómo estos armónicos en la corriente de descarga pueden llevar a una desajuste de la impedancia cuando se alimentan con un circuito externo.
- El método se ajusta bien para una arquitectura de ordenadores moderna, ya que el reensamblaje y paginado dentro y fuera de memoria en cada paso temporal no es necesario. Prácticamente todo el tiempo se emplea en realizar la factorización de una matriz dispersa con un resolvedor directo, lo que está muy paralelizado y corre a una relación de FLOPS muy alta.
El modelo 2D del reactor Argon GEC CCP utiliza la nueva interfaz Plasma, Time Periodic, y se muestra la densidad de electrones promediada en el periodo.
Nueva funcionalidad con la interfaz Plasma, Time periodic
Excitación eléctrica
Mientras se modela con la nueva interfaz Plasma, Time Periodic los electrodos pueden ser alimentados con una tensión fija o una potencia fija desde una condición de contorno de Contacto metálico o Terminal. Adicionalmente se pueden incluir en el modelo un número arbitrario de frecuencias aplicadas, y la potencia o tensión para cada frecuencia se pueden especificar independientemente. Los electrodos también pueden ser alimentados por un circuito externo; un circuito RC paralelo, una red en L o una red en L invertida.
Emisión secundaria
Ahora puede incluirse la emisión secundaria por medio de reemisión de electrones secundarios debido a un flujo de iones incidente en una superficie o utilizando un modelo uniforme o aproximado para los electrones secundarios que exhiban efectos de haz. Los electrones que exhiben efectos de haz normalmente ocurren en descargas a bajas presiones y altas potencias.
Para permitir esta funcionalidad debe hacerse clic sobre el botón Mostrar de la barra de herramientas del Constructor de modelo y entonces seleccionar Opciones avanzadas de interfaces físicas. En el nodo Plasma, Time Periodic aparecerá una sección Secondary Emission Model donde se puede seleccionar entre From surfaces (por defecto) o Uniform (nuevo en versión 5.3a de COMSOL Multiphysics®). Cuando se selecciona la opción Uniforme se puede definir el tamaño de un gap característico y la energía del haz para el modelo de emisión secundario.
Función de distribución de energía del ion
A menudo es el valor de interés cuando se modelan plasmas acoplados capacitivamente, ahora se puede calcular la función de distribución de energía del ion (IEDF) y la función de distribución de energía angular del ion (IAEDF) combinando la solución del plasma con el módulo Particle Tracing.
Un IEDF que muestra el clásico doble pico en energía, con un punto medio correspondiente a la suma del autosesgo CC y el potencial del plasma. La parte de baja energía del IEDF también tiene varios picos bien definidos.
Nuevo modelo tutorial: Argon GEC CCP Reactor, 2D
El reactor CCP de la National Institute of Standards and Technology (NIST) Gaseous Electronics Conference (GEC) proporciona una plataforma estandarizada para estudiar plasmas acoplados capacitivamente. Incluso los modelos de plasma más simples están bastante involucrados, así que un ejemplo 2D ayuda a comprender la física sin demasiado tiempo de CPU. Utilizando la nueva interfaz física Plasma, Time Periodic la solución permanente periódica de una descarga de argón se calcula con buena aproximación con las medidas comparadas y las simulaciones en la literatura.
Densidad de electrones promediada en un periodo (1/m3) dentro del reactor GEC para deposición de 1 W de potencia. La densidad calculada concuerda bien con lo publicado en la literatura.
Nuevo modelo tutorial: Alpha to Gamma Transition
Las descargas RF acopladas capacitivamente pueden operar en dos regímenes distintos dependiendo de la potencia de descarga. En el régimen de baja potencia, conocido como régimen α, las oscilaciones del campo eléctrico calientan y crean electrones. En el régimen de alta potencia, conocido como régimen γ, la descarga se sostiene primeramente por avalancha de electrones dentro de la envolvente del plasma. Esto se inicia mediante electrones secundarios emitidos debido al bombardeo de iones de los electrodos. Los dos regímenes presentan diferencias fundamentales que pueden tener un impacto importante en aplicaciones de plasma.
En este modelo, la nueva interfaz física Plasma, Time Periodic es utilizada para modelar los dos regímenes y la transición entre ellos. Se presentan resultados para la creación de electrones y la potencia absorbida por los electrones que ilustran las principales funcionalidades de los dos regímenes. Esto es, una región de baja potencia, donde se necesitan amplitudes grandes de tensión para incrementar la potencia absorbida por la descarga, y una región de alta potencia, donde las potencias de descarga altas son obtenidas por amplitudes de tensión progresivamente más bajas.
La potencia absorbida por el plasma y la densidad de electrón media como función de la amplitud de la tensión. Es posible identificar la región de baja potencia y la región de potencia alta, descrita en el texto más abajo.
Nuevo modelo tutorial: Computign the Ion energy distribution functioin en a 2D CCP Reactor
Las técnicas de procesado de plasma son muy utilizadas para modificar las propiedades químicas y físicas de superficies. Algunos procesos requieren el bombardeo de iones energéticos y un alto grado de anisotropía de la velocidad del ion. Por lo tanto es de gran valor conocer el IEDF y la dispersión de velocidad en la superficie. En este modelo tutorial, se calcula la IEDF y la superficie de electrodo para un reactor CCP comercial. Se compara la IEDF calculada con medidas experimentales encontrando una concordancia razonable.
Gráfico de superficie del potencial eléctrico promediado en un periodo (V) en un reactor CCP comercial. El reactor es asimétrico dando lugar a un autosesgo CC negativo en el electrodo alimentado.
Nuevo modelo tutorial
Este modelo tutorial demuestra cómo calcular la impedancia de un plasma acoplado capacitivamente, útil cuando se diseñan redes de adaptación. El estudio Time Periodic calcula la solución periódica en el tiempo del plasma. Subsecuentemente, la solución se transforma al dominio del tiempo, después de lo cual se llama al resolvedor FFT. Esto permite calcula la impedancia del plasma para un conjunto de parámetros de entrada dados.
Deposición de potencia promediada en un periodo a los iones, electrones y la suma de ambos. Period-averaged power deposition to the ions, electrons, and the sum of both. En la mayor parte, la absorción de potencia está dominada por los electrones, pero en la envoltura del plasma está dominada por los iones.
Nuevo modelo tutorial: Impedance Matching
Este modelo tutorial alimenta una plasma acoplado capacitivamente con una red de adaptación tipo L a alta y baja potencia. A baja potencia donde los armónicos en la corriente son bajos, se obtiene una adaptación perfecta a el valor de potencia escogido. Se realizan barridos sobre potencia, frecuencia y presión para examinar sus efectos en la relación y eficiencia de transferencia de potencia de adaptación. Finalmente, se realiza un barrido sobre el rango de altas potencias y la presencia de armónicos dimensionables en la corriente causa una adaptación de impedancia.
Gráfico del coeficiente y eficiencia de transferencia máxima de potencia en función de la frecuencia aplicada. La adaptación L se ha sintonizado para 13.56 MHz. Como se esperaba, el coeficiente de transferencia de potencia máximo es 1 a 13.56 MHz y la eficiencia es exactamente 0.5.
5.3
NOVEDADES
Los usuarios del módulo de Plasma de COMSOL Multiphysics® 5.3 encontrarán un nuevo modelo de difusión Global para verificar químicas de reacciones complejas, una opción para aproximar la energía el electrón media para sistemas de alta presión y varios modelos tutoriales nuevos.
Nueva aplicación: Boltzmann DC Glow Discharge
Esta aplicación modela una descarga incandescente de continua. La función de distribución de energía del electrón (EEDF) y las propiedades de transporte del electrón se calculan con la interfaz de Ecuación de Boltzmann, aproximación de dos términos. Como los parámetros de entrada para la interfaz Ecuación de Boltzmann, aproximación de dos términos, como el grado de ionización del plasma, no son conocidos a priori, se realiza un proceso iterativo. Se calculan un estudio Boltzmann y un estudio plasma alternativamente hasta que la desviación en la densidad del electrón cae por debajo de un valor definido por el usuario. Como resultado se puede examinar el EEDF en cada punto de la geometría.
Interfaz de usuario para la app de ejemplo Boltzmann DC Glow Discharge que muestra los resultados de la simulación.
Modelado global para análisis inicial de procesos de plasma
Para facilitar el modelado de procesos de plasma, un nuevo modelo de difusión Global permite realizar análisis iniciales del proceso, antes de optimizarlos con un modelado más preciso. El modelado global reduce los grados de libertad para los modelos aplicando ecuaciones diferenciales ordinarias al modelo de plasma. Esto permite comprobar y verificar químicas de reacciones complejas antes de correr modelos dependientes del espacio, mientras que la geometría del reactor, la química superficial y las corrientes de alimentación se siguen teniendo en cuenta. Para permitir el modelado global, se debe seleccionar la opción Global en el menú desplegable del modelo de Difusión, y entonces se escoge entre los tipos de reactor disponibles:
- Reactor cerrado
- Masa constante
- Presión constante
Aproximación de campo local
Las descargas de presión atmosférica tienden a ser numéricamente inestables debido a dificultades en el cálculo de la energía del electrón media. Ahora, se puede evitar tener que calcular la energía del electrón media utilizando la opción Aproximación de campo local. Entonces las propiedades de transporte y coeficientes de fuente se hacen funciones del campo eléctrico reducido, que es definido por el usuario. Esta aproximación es adecuada a altas presiones, cuando se modelen serpentines y coronas.
Cálculo automático de la movilidad del electrón
Cuando se especifica la movilidad del electrón en la ventana de Ajustes del modelo de Plasma, ahora se pueden especificar las propiedades de transporte para que se calculen automáticamente de una lista de reacciones de impacto de electrones.
Soporte para unidades para tablas en la interfaz de Plasma
Ahora es posible cambiar las unidades de los dato en las dos columnas de una tabla en las interfaces de plasma. Ahora las unidades están disponibles en las siguientes funcionalidades.
Reacciones de impacto de electrones
- Cuando Especificar una reacción utilizando se pone a Datos de sección cruzada, se dispone de una tabla de Energía del electrón (V) y datos de sección cruzada de Colisión (m2).
- Cuando Especificar una reacción utilizando se pone a Utilizar una tabla y Forma de constante de la tasa se pone a Coeficiente de tasa, se dispone de una tabla de Energía del electrón media (V) y Datos de coeficiente de tasa (m3/(mol.s))
- Cuando Especificar una reacción utilizando se pone a Utilizar una tabla y Forma de constante de la tasa se pone a Coeficiente de Townsend, se dispone de una tabla de Energía del electrón media (V) y datos del coeficiente de Townsend (m2)
Especies
- Cuando Especies es un Ion y las Expresiones de movilidad y difusividad se ponen a Especificar movilidad, calcular difusividad, entonces puede especificarse la Movilidad del ion (m2/(V.s)) en términos del Campo eléctrico (V/m)
- Cuando Especies es un Ion y las Expresiones de movilidad y difusividad se ponen a Especificar movilidad, calcular difusividad, entonces puede especificarse la Movilidad del ion (m2/(V.s)) en términos del campo eléctrico reducido (V/m2)
Modelo de Plasma
Cuando la propiedad de la interfaz Propiedades de transporte del electrón reducido está inactiva y cuando las Propiedades de transporte del electrón se ponen a Utilizar tablas, entonces se dispone de cuatro tablas para:
- Movilidad del electrón, que tiene dos columnas para la Energía del electrón media (V) y la Movilidad del electrón (m2/(V.s))
- Difusividad del electrón, que tiene dos columnas para la Energía del electrón media (V) y la Difusividad del electrón (m2/s)
- Difusividad de la energía del electrón, que tiene dos columnas para la Energía del electrón media (V) y la difusividad de la energía del electrón (m2/s)
- Movilidad de energía del electrón, que tiene dos columnas para la Energía del electrón media (V) y la movilidad de la energía del electrón (m2/(V.s))
Cuando la propiedad de la interfaz Utilizar propiedades de transporte de electrón reducido está activa y cuando Propiedades de transporte del electrón se pone a Utilizar tablas, entonces se dispone de cuatro tablas para:
- Movilidad del electrón reducida, que tiene dos columnas para la Energía del electrón media (V) y la movilidad del electrón reducida (1/(m · V · s))
- Difusividad del electrón reducida, que tiene dos columnas para la Energía del electrón media (V) y la Difusividad del electrón reducida (1/(m · s))
- Difusividad de la energía del electrón reducida, que tiene dos columnas para la Energía del electrón media (V) y la Difusividad del electrón reducida (1/(m · s))
- Movilidad de la energía del electrón reducida, que tiene dos columnas para la Energía del electrón media (V) y la movilidad del electrón reducida (1/(m · V · s))
Modelos de movilidad del ion adicionales
Dos nuevos modelos están disponibles para calcular la movilidad del ion. El modelo de Dalgarno requiere la especificación de la polarizabilidad del ion y es válido cuando el campo eléctrico es débil (la deriva de la velocidad del ion es mucho meno que la velocidad térmica del ion). El modelo de Campo alto es válido cuando la deriva de la velocidad del ion es mucho mayor que la velocidad térmica.
Nuevo modelo tutorial: Descarga corona de presión atmosférica en el aire
Este modelo tutorial presenta un estudio de una descarga corona continua coaxial en aire seco a presión atmosférica. Las dimensiones y condiciones operativas son similares a las encontradas en precipitadores electrostáticos con configuraciones cable a placa. El electrodo del cable interior tiene un radio de 100 mm y el espacio vacío entre electrodos es de 10 cm.
El modelo resuelve la continuidad del electrón y ion y las ecuaciones del momento en la aproximación deriva-difusión, acoplada autoconsistentemente con la ecuación de Poisson. Se utiliza la aproximación del campo local, lo que significa que los coeficiente de transporte y fuente se asumen bien parametrizados a través del campo eléctrico reducido.
Las simulaciones presentadas están en regímenes de estado estacionario, con una descarga sostenida y decenas de kV aplicados en el electrodo interno mientras que el electrodo externo está a tierra. Se ha puesto énfasis en la creación y transporte de partículas cargadas y en cómo se trasladan en características de corriente-tensión de la descarga.
Densidades de electrón, ion positivo y ion negativo en una corona descarga con una química del aire simplificada.
Nuevo modelo tutorial: Streamer negativos en Nitrógeno en 1D
Los streamers son descargas eléctricas filamentosas transitorias que pueden desarrollarse en un fondo no conductor en la presencia de un campo eléctrico intenso. Estas descargas pueden tener una alta densidad de número de electrones y consecuentemente, una alta concentración de especies químicas activas que son relevantes para numerosas aplicaciones. Las aplicaciones industriales incluyen la producción de ozono, el control de la polución y el procesado de superficie.
La propagación de streamers está controlada por dinámicas muy alineales que involucran gradientes de densidad muy pronunciados y densidades de carga-espacio muy altas distribuidas en capas muy finas. Este modelo tutorial presenta un estudio de un streamer negativo en nitrogeno a presión atmosférica en un campo eléctrico constante de -100 kV/cm. El modelo es unidimensional y describe el comportamiento transitorio del crecimiento de un electrón semilla inicial en un campo eléctrico imperturbado a la propagación del streamer.
Distribución espacial del electrón (líneas sólidas coloreadas) y densidad de número de iones (líneas discontinuas negras) para cuatro instantes temporales durante la propagación del streamer.
Nuevo modelo tutorial: Descarga de cloro
Las descargas de plasma que contienen cloro son utilizadas normalmente para grabar semiconductores y metales en fabricación de microelectrónica.
Este modelo tutorial estudia las descargas de plasma de cloro utilizando una modelo de difusión global (promediado en volumen). Estas pueden correr simulaciones en una fracción del tiempo que lo que llevarían modelos dependientes del espacio. Esto las hace una buena elección para estudiar configuraciones de grandes reacciones y regiones de parámetros extendidos.
El modelo Chlorine Discharge explora potencias absorbidas de 50 a 600 W, funcionado con presiones entre 1 y 100 mTorr. Los resultados del modelo de varios valores relevantes como la densidad del electrón, la temperatura del electrón y la densidad del cloro atómico están en buena consonancia con las medidas realizadas en reactores de plasma acoplados inductivamente, que se encuentran en la literatura.
Evolución de las especies del cloro y la densidad del electrón utilizando el modelo de difusión global.
Nuevo modelo tutorial: Química superficial
La química superficial a menudo es un aspecto pasado por alto en el modelado de flujos reactivos. Este modelo tutorial muestra cómo pueden añadirse reacciones superficiales y especies a procesos de estudio como la deposición de vapor químico (CVD). Entonces el tutorial modela el crecimiento de silicio en una oblea.
Inicialmente, el ejemplo utiliza un modelo global para investigar una región amplia de parámetros con química compleja. Entonces, un modelo dependiente del espacio se configura y ejecuta. Se pone especial atención al balance de masa global en el sistema mientras se estudia la diferencia entre la velocidad promediada en masa y la velocidad de difusión. El modelo muestra que la masa total y la concentración molar del sistema se conservan. Finalmente, se estudia la altura del silicio depositado en función del tiempo.
Crecimiento del silicio depositado en un contorno para el modelo global (derecha) y el modelo dependiente del espacio (izquierda). El eje x representa la dimensión espacial (m), el eje y representa el tiempo (s), y el eje z representa la altura de crecimiento (Å). Como se trata de un reactor cerrado con una distribución uniforme de las especies, la concordancia entre los dos métodos es muy buena.
Nuevo modelo tutorial: Microplasma de microondas
Los plasmas sostenidos en gaps de descarga a microescala para funcionar en altas presiones (1 atm) con altas densidades de número de electrones (1E20 m^-3) y densidad de potencia (1E9 W/m^3), mientras mantienen una relativa temperatura fría de partícula pesada. Este modelo tutorial simula un plasma de argón a presión atmosférica sostenido por una excitación eléctrica variable en el tiempo en el rango de microondas. El modelo es unidireccional en la dirección del campo aplicado y describe la evolución espacial y temporal de las propiedades macroscópicas del plasma.
Evolución del registro de la densidad de electrones durante los 500 ciclos RF. El eje y en este gráfico representa el tiempo multiplicado por la frecuencia de excitación.
5.2a
NOVEDADES
El módulo de Plasma de COMSOL Multiphysics® versión 5.2a ha reorganizado sus interfaces físicas para una configuración y flujo de trabajo más eficiente de los modelos, incluyendo la capacidad de acoplar fácilmente interfaces multifísicas en la simulación de plasma, así como una nueva funcionalidad de Terminal de dominio para electrodos geométricamente complejos.
Reorganización de las interfaces físicas de Plasma
En COMSOL Multiphysics® 5.2a, las interfaces de Descarga DC y Plasma acoplado capacitivamente se han remplazado por una nueva interfaz llamada Plasma. La interfaz de Plasma incluye toda la funcionalidad de esas dos interfaces. Al abrir un modelo que contenga las interfaces Descarga DC y Plasma acoplado capacitivamente, éste se convierte automáticamente a la nueva interfaz de Plasma. Sin embargo, para proporcionar una compatibilidad hacia atrás, se mantienen los Label, Name y Tag de la interfaz original.
Las interfaces de Plasma acoplado inductivamente y Plasma de microondas se han reimplementado como interfaces multifísicas combinando las interfaces de Plasma y Campos magnéticos, y las interfaces de Plasma y Ondas electromagnéticas, Dominio de la frecuencia, respectivamente. La siguiente tabla resume estos cambios.
| Nombre de la interfaz antigua (antes de v5.2a) | Nuevo(s) nombre(s) de interfaz |
| DC Discharge | Plasma |
| Capacitively Coupled Plasma | Plasma |
| Inductively Coupled Plasma |
|
| Microwave Plasma |
|
El acoplamiento entre los campos de alta frecuencia y el plasma para las interfaces de Plasma acoplado inductivamente y Plasma de microondas ahora se hace utilizando las funcionalidades de acoplamiento multifísico. Usando una aproximación de plasma frío, la interfaz multifísica de Acoplamiento de conductividad del plasma calcula la conductividad eléctrica requerida por las interfaces de Campos magnéticos y Ondas electromagnéticas, Dominio de la frecuencia, basándose en la densidad de electrones, frecuencia de colisión y frecuencia angular. La interfaz multifísica de Fuente de calor de electrón calcula el calentamiento colisional de los electrones basados en la conductividad del plasma y el campo eléctrico.
Como ejemplo, cuando se añade una interfaz de Plasma de microondas en el Ayudante de modelo, aparece lo siguiente:
Model Wizard después de añadir la nueva interfaz Microwave Plasma.
De forma similar, al añadir la interfaz de Plasma acoplado inductivamente, aparece:
Model Wizard después de añadir la nueva interfaz Inductively Coupled Plasma.
Compatibilidad hacia atrás
Las interfaces antiguas Inductively Coupled Plasma y Microwave Plasma todavía pueden abrirse, editarse y resolverse. Cuando se abren estos modelos, aparece un aviso indicando que la interfaz es obsoleta y que se eliminará en el futuro.
Terminal de dominio
5.2
Estabilidad mejorada de la discretización del volumen finito
En COMSOL Multiphysics versión 5.2 la discretización de volumen finito ha sido mejorada eliminando errores de desbordamientos numéricos. Como resultado, se esperan menos no convergencias de modelos cuando se utiliza la discretización por volúmenes finitos.
El "estudio de campos eléctricos" reducidos soporta unidades
Datos de materiales mejorados para descargas en equilibrio
Ciertos puntos de datos periféricos en los datos de materiales de descarga en equilibrio se han eliminado. El método de interpolación por defecto ahora es Linear (en versiones anteriores del programa, el método por defecto era Piecewise cubic). Ambos cambios incrementan la estabilidad numérica en la resolución.
Cartas de Smith: La forma convencional de presentar las propiedades de adaptación
5.1
NOVEDADES
Nueva app: GEC CCP
El reactor NIST GEC CCP proporciona una plataforma para estudiar plasmas acoplados capacitivamente. Esta app investiga el mecanismo de deposición de potencia en el plasma debido a un campo electrostático sinusoidal trabajando a 13.56 MHz. La app muestra el uso del formulario de preferencias modales para permitir la selección de formatos de salida para el informe generado.
Pantallazo de la aplicación GEC CCP donde se pueden variar varias de las entradas.
5.0
Tres nuevas interfaces físicas para modelar descargas que están en equilibrio termodinámico local (LTE)
- Interfaz de descarga DC en equilibrio—contraparte a la interfaz de descarga DC
- Interfaz de plasma acoplado inductivamente en equilibrio (también requiere el módulo AC/DC)—contraparte de la interfaz de plasma acoplado inductivamente
- Interfaz combinado de descarga DC/Inductiva (también requiere el módulo AC/DC)—combinación de las dos descargas anteriores, principalmente destinado para aplicaciones de soldadura
Contacto dieléctrico
La condición de contorno de Contacto Dieléctrico es utilizado para contornos que representan un material dieléctrico en contacto con el plasma, y permite aplicar una tensión de polarización en la parte trasera de un material dieléctrico sin la necesidad de incluir el material dieléctrico en la geometría.
Contacto metálico
La condición de contorno metálica puede ser alimentada con una corriente fija o un circuito externo además de un potencial eléctrico, y puede resultar en un sistema más estable y una convergencia más robusta.
Funcionalidad de Terminal mejorada
La funcionalidad de Terminal ha sido mejorada y ahora es posible alimentar el terminal con una corriente fija, posibilitando calcular la polarización DC en un plasma acoplado capacitivamente (CCP).
Linterna ICP: Modelo de una linterna de plasma acoplada inductivamente. El resultado de la simulación revela las características eléctricas y térmicas de la linterna a presió atmosférica.



COMSOL Multiphysics 6.3